Black hole
2008/9 Schools Wikipedia Selection. Related subjects: Physics; Space (Astronomy)
| General relativity | ||||||||||||
![]() |
||||||||||||
| Einstein field equations | ||||||||||||
| Introduction to... Mathematical formulation of...
|
||||||||||||
A black hole is a region of space in which the gravitational field is so powerful that nothing can escape after having fallen past the event horizon. The name comes from the fact that even electromagnetic radiation (e.g. light) is unable to escape, rendering the interior invisible. However, black holes can be detected if they interact with matter outside the event horizon, for example by drawing in gas from an orbiting star. The gas spirals inward, heating up to very high temperatures and emitting large amounts of radiation in the process.
While the idea of an object with gravity strong enough to prevent light from escaping was proposed in the 18th century, black holes, as presently understood, are described by Einstein's theory of general relativity, developed in 1916. This theory predicts that when a large enough amount of mass is present within a sufficiently small region of space, all paths through space are warped inwards towards the centre of the volume, forcing all matter and radiation to fall inward.
While general relativity describes a black hole as a region of empty space with a pointlike singularity at the centre and an event horizon at the outer edge, the description changes when the effects of quantum mechanics are taken into account. Research on this subject indicates that, rather than holding captured matter forever, black holes may slowly leak a form of thermal energy called Hawking radiation. However, the final, correct description of black holes, requiring a theory of quantum gravity, is unknown.
Sizes of black holes
Black holes can have any mass. Since the gravitational force of a body on itself, at the surface of a body of any shape, increases in inverse proportion to its characteristic lengthscale squared (as volume-2/3 ), an object of any shape and mass that is sufficiently compressed will collapse under its own gravity and form a black hole. However, when black holes form naturally, only a few mass ranges are realistic.
Black holes can be divided into several size categories:
- Supermassive black holes that contain hundreds of thousands to billions of times the mass of the sun are believed to exist in the centre of most galaxies, including our own Milky Way. They are thought to be responsible for active galactic nuclei.
- Intermediate-mass black holes, whose sizes are measured in thousands of solar masses, may exist. Intermediate-mass black holes have been proposed as a possible power source for ultra-luminous X ray sources.
- Stellar-mass black holes have masses ranging from about 1.5-3.0 solar masses (the Tolman-Oppenheimer-Volkoff limit) to 15 solar masses. These black holes are created by the collapse of individual stars. Stars above about 20 solar masses may collapse to form black holes; the cores of lighter stars form neutron stars or white dwarf stars. In all cases some of the star's material is lost (blown away during the red giant stage for stars that turn into white dwarfs, or lost in a supernova explosion for stars that turn into neutron stars or black holes).
- Micro black holes, which have masses at which the effects of quantum mechanics are expected to become very important. This is usually assumed to be near the Planck mass. Alternatively, the term micro black hole or mini black hole may refer to any black hole with mass much less than that of a star. Black holes of this type have been proposed to have formed during the Big Bang ( primordial black holes), but no such holes have been detected as of 2008. NASA's GLAST satellite, to be launched in 2008, will search for such primordial black holes as one of its tasks.
Astrophysicists expect to find stellar-mass and larger black holes, because a stellar mass black hole is formed by the gravitational collapse of a star of 20 or more solar masses at the end of its life, and can then act as a seed for the formation of a much larger black hole.
Micro black holes might be produced by:
- The Big Bang, which produced pressures far larger than that of a supernova and therefore sufficient to produce primordial black holes without needing the powerful gravity fields of collapsing large stars.
- High-energy particle accelerators such as the Large Hadron Collider (LHC), if certain non-standard assumptions are correct (typically, an assumption of large extra dimensions). However, any black holes produced in such a manner will evaporate practically instantaneously if Hawking Radiation works as predicted, thus posing no danger to Earth.
What makes it impossible to escape from black holes?
General relativity describes mass as changing the shape of spacetime, and the shape of spacetime as describing how matter moves through space. For objects much less dense than black holes, this results in something similar to Newton's laws of gravity: objects with mass attract each other, but it's possible to define an escape velocity which allows a test object to leave the gravitational field of any large object. For objects as dense as black holes, this stops being the case. The effort required to leave the hole becomes infinite, with no escape velocity definable.
There are several ways of describing the situation that causes escape to be impossible. The difference between these descriptions is how space and time coordinates are drawn on spacetime (the choice of coordinates depends on the choice of observation point and on additional definitions used). One common description, based on the Schwarzschild description of black holes, is to consider the time axis in spacetime to point inwards towards the centre of the black hole once the horizon is crossed. Under these conditions, falling further into the hole is as inevitable as moving forward in time. A related description is to consider the future light cone of a test object near the hole (all possible paths the object or anything emitted by it could take, limited by the speed of light). As the object approaches the event horizon at the boundary of the black hole, the future light cone tilts inwards towards the horizon. When the test object passes the horizon, the cone tilts completely inward, and all possible paths lead into the hole.
Black hole parameters and the "no hair theorem"
The "No hair" theorem states that black holes have only 3 independent internal properties: mass, angular momentum and electric charge. As a consequence it is impossible to tell the difference between a black hole formed from a highly compressed mass of normal matter and one formed from, say, a highly compressed mass of anti-matter; in other words, any other information (apart from mass, angular momentum and charge) about infalling matter or energy is seemingly destroyed. This is the black hole information paradox.
The theorem only works in some of the types of universe which the equations of general relativity allow, but this includes four-dimensional spacetimes with a zero or positive cosmological constant, which describes our universe at the classical level.
Types of black holes
Despite the uncertainty about whether the "No Hair" theorem applies to our universe, astrophysicists currently classify black holes according to their angular momentum (non-zero angular momentum means the black hole is rotating) and electric charge:
| Non-rotating | Rotating | |
| Uncharged | Schwarzschild | Kerr |
| Charged | Reissner-Nordström | Kerr-Newman |
(All black holes have non-zero mass, so mass cannot be used for this type of "yes" / "no" classification)
Physicists do not expect that black holes with a significant electric charge will be formed in nature, because the electromagnetic repulsion, which resists the compression of an electrically charged mass, is about 40 orders of magnitude greater (about 1040 times greater) than the gravitational attraction, which compresses the mass. So this article does not cover charged black holes in detail, but the Reissner-Nordström black hole and Kerr-Newman metric articles provide more information.
On the other hand astrophysicists expect that almost all black holes will rotate, because the stars from which they are formed rotate. In fact most black holes are expected to spin very rapidly, because they retain most of the angular momentum of the stars from which they were formed, but concentrated into a much smaller radius. The same laws of angular momentum make skaters spin faster if they pull their arms closer to their bodies.
This article describes non-rotating, uncharged black holes first, because they are the simplest type.
Major features of non-rotating, uncharged black holes
Event horizon
This is the boundary of the region from which not even light can escape, but at the same time, light does not get sucked into the black hole. Stephen Hawking, in his book A Brief History of Time, describes the event horizon as "the point of which light is just barely able to escape ("I like to think of it as being chased by the police but just barely managing to stay one step away!")." Another way to think of this is that the light is running on a spacetime "treadmill;" the light is moving away from the black hole at the rate of c, but the spacetime is being sucked into the black hole at the same rate, so the two cancel each other out, much like a treadmill. An observer at a safe distance would see a dull black disc if the black hole was in a pure vacuum but in front of a light background, such as a bright nebula. The event horizon is not a solid surface, and does not obstruct or slow down matter or radiation that is traveling towards the region within the event horizon.
The event horizon is the defining feature of a black hole—it is black because no light or other radiation can escape from inside it, excluding Hawking radiation. So the event horizon hides whatever happens inside it, and we can only calculate what happens by using the best theory available, which at present is general relativity.
The gravitational field outside the event horizon is identical to the field produced by any other spherically symmetric object of the same mass. The popular conception of black holes as "sucking" things in is false: objects can maintain an orbit around black holes indefinitely, provided they stay outside the photon sphere (described below), and also ignoring the effects of gravitational radiation, which causes orbiting objects to lose energy, similar to the effect of electromagnetic radiation.
Singularity at a single point
According to general relativity, a black hole's mass is entirely compressed into a region with zero volume, which means its density and gravitational pull are infinite, and so is the curvature of space-time that it causes. These infinite values cause most physical equations, including those of general relativity, to stop working at the center of a black hole. So physicists call the zero-volume, infinitely dense region at the centre of a black hole a singularity.
The singularity in a non-rotating, uncharged black hole is a point, in other words it has zero length, width, and height.
But there is an important uncertainty about this description: quantum mechanics is as well-supported by mathematics and experimental evidence as general relativity, and it does not allow objects to have zero size—so quantum mechanics says the centre of a black hole is not a singularity but just a very large mass compressed into the smallest possible volume. At present we have no well-established theory that combines quantum mechanics and general relativity; and the most promising candidate, string theory, also does not allow objects to have zero size.
The rest of this article will follow the predictions of general relativity, because quantum mechanics deals with very small-scale (sub-atomic) phenomena and general relativity is the best theory we have at present for explaining large-scale phenomena, such as the behaviour of masses similar to or larger than stars.
Photon sphere
A non-rotating black hole's photon sphere is a spherical boundary of zero thickness such that photons moving along tangents to the sphere will be trapped in a circular orbit. For non-rotating black holes, the photon sphere has a radius 1.5 times that of the event horizon. This may give the impression that a black hole will accumulate a 'shell' of captured photons, which will grow in density indefinitely, but this is not true. No photon is likely to stay in this orbit for long, for two reasons. First, it is likely to interact with any infalling matter in the vicinity (being absorbed or scattered). Second, the orbit is dynamically unstable due to light's enormous speed; small deviations from a perfectly circular path will grow into larger deviations very quickly, causing the photon to either escape or fall into the hole.
Other extremely compact objects, such as neutron stars, can also have photon spheres. This follows from the fact that light "captured" by a photon sphere does not pass within the radius that would form the event horizon if the object were a black hole of the same mass, and therefore its behaviour does not depend on the presence of an event horizon.
Accretion disk

Space is not a pure vacuum - even interstellar space contains a few atoms of hydrogen per cubic centimeter. The powerful gravity field of a black hole pulls this towards and then into the black hole. The gas nearest the event horizon forms a disk and, at this short range, the black hole's gravity is strong enough to compress the gas to a relatively high density. The pressure, friction and other mechanisms within the disk generate enormous energy (which causes the gases to turn into plasma) - in fact they convert matter to energy more efficiently than the nuclear fusion processes that power stars. As a result, the disk glows very brightly, although disks around black holes radiate mainly X-rays rather than visible light.
Accretion disks are not proof of the presence of black holes, because other massive, ultra-dense objects such as neutron stars and white dwarfs cause accretion disks to form and to behave in the same ways as those around black holes.
Major features of rotating black holes

Rotating black holes share many of the features of non-rotating black holes—the inability of light or anything else to escape from within their event horizons, accretion disks, etc. But general relativity predicts that rapid rotation of a large mass produces further distortions of space-time, in addition to those that a non-rotating large mass produces; and these additional effects make rotating black holes strikingly different from non-rotating ones.
Ergosphere
A large, ultra-dense rotating mass creates an effect called frame-dragging, so that space-time is dragged around it in the direction of the rotation.
Rotating black holes have an ergosphere, a region bounded by
- on the outside, an oblate spheroid, which coincides with the event horizon at the poles and is noticeably wider around the "equator". This boundary is sometimes called the "ergosurface", but it is just a boundary and has no more solidity than the event horizon. At points exactly on the ergosurface, space-time is dragged around at the speed of light.
- on the inside, the outer event horizon.
Within the ergosphere, space-time is dragged around faster than light—general relativity forbids material objects to travel faster than light (so does special relativity), but allows regions of space-time to move faster than light relative to other regions of space-time.
Objects and radiation (including light) can stay in orbit within the ergosphere without falling to the centre. But they cannot hover (remain stationary, as seen by an external observer), because that would require them to move backwards faster than light relative to their own regions of space-time, which are moving faster than light relative to an external observer.
Objects and radiation can also escape from the ergosphere. In fact the Penrose process predicts that objects will sometimes fly out of the ergosphere, obtaining the energy for this by "stealing" some of the black hole's rotational energy. If a large total mass of objects escapes in this way, the black hole will spin more slowly and may even stop spinning eventually.
Ring-shaped singularity
General relativity predicts that a rotating black hole will have a ring singularity which lies in the plane of the "equator" and has zero width and thickness—but remember that quantum mechanics does not allow objects to have zero size in any dimension (their wavefunction must spread), so general relativity's prediction is only the best idea we have until someone devises a theory that combines general relativity and quantum mechanics.
Possibility of escaping from a rotating black hole
Kerr's solution for the equations of general relativity predicts that:
- The properties of space-time between the two event horizons allow objects to move only towards the singularity.
- But the properties of space-time within the inner event horizon allow objects to move away from the singularity, pass through another set of inner and outer event horizons, and emerge out of the black hole into another universe or another part of this universe without traveling faster than the speed of light.
- Passing through the ring shaped singularity may allow entry to a negative gravity universe.
If this is true, rotating black holes could theoretically provide the wormholes which often appear in science fiction. Unfortunately, it is unlikely that the internal properties of a rotating black hole are exactly as described by Kerr's solution and it is not currently known whether the actual properties of a rotating black hole would provide a similar escape route for an object via the inner event horizon.
Even if this escape route is possible, it is unlikely to be useful because a spacecraft which followed that path would probably be distorted beyond recognition by spaghettification.
What happens when something falls into a black hole?
This section describes what happens when something falls into a non-rotating, uncharged black hole. The effects of rotating and charged black holes are more complicated but the final result is much the same—the falling object is absorbed (unless rotating black holes really can act as wormholes).
Spaghettification
An object in any very strong gravitational field feels a tidal force stretching it in the direction of the object generating the gravitational field. This is because the inverse square law causes nearer parts of the stretched object to feel a stronger attraction than farther parts. Near black holes, the tidal force is expected to be strong enough to deform any object falling into it, even atoms or composite nucleons; this is called spaghettification.
The strength of the tidal force depends on how gravitational attraction changes with distance, rather than on the absolute force being felt. This means that small black holes cause spaghettification while infalling objects are still outside their event horizons, whereas objects falling into large, supermassive black holes may not be deformed or otherwise feel excessively large forces before passing the event horizon.
Before the falling object crosses the event horizon
An object in a gravitational field experiences a slowing down of time, called gravitational time dilation, relative to observers outside the field. The outside observer will see that physical processes in the object, including clocks, appear to run slowly. As a test object approaches the event horizon, its gravitational time dilation (as measured by an observer far from the hole) would approach infinity.
From the viewpoint of a distant observer, an object falling into a black hole appears to slow down, approaching but never quite reaching the event horizon: and it appears to become redder and dimmer, because of the extreme gravitational red shift caused by the gravity of the black hole. Eventually, the falling object becomes so dim that it can no longer be seen, at a point just before it reaches the event horizon. All of this is a consequence of time dilation: the object's movement is one of the processes that appear to run slower and slower, and the time dilation effect is more significant than the acceleration due to gravity; the frequency of light from the object appears to decrease, making it look redder, because the light appears to complete fewer cycles per "tick" of the observer's clock; lower-frequency light has less energy and therefore appears dimmer, as well as redder.
From the viewpoint of the falling object, distant objects may appear either blue-shifted or red-shifted, depending on the falling object's trajectory. Light is blue-shifted by the gravity of the black hole, but is red-shifted by the velocity of the infalling object.
As the object passes through the event horizon
From the viewpoint of the falling object, nothing particularly special happens at the event horizon. An infalling object takes a finite proper time (i.e. measured by its own clock) to fall past the event horizon.
An outside observer, however, will never see an infalling object cross this surface. The object appears to halt just above the horizon, due to gravitational redshift, fading from view as its light is red-shifted and the rate at which it emits photons drops to approach zero. This does not mean that the object never crosses the horizon; instead, it means that light from the horizon-crossing event is delayed by a time that approaches infinity as the object approaches the horizon. The time of crossing depends on how the outside observer chooses to define space and time axes on spacetime near the horizon.
Inside the event horizon
The object reaches the singularity at the centre within a finite amount of proper time, as measured by the falling object. An observer on the falling object would continue to see objects outside the event horizon, blue-shifted or red-shifted depending on the falling object's trajectory. Objects closer to the singularity aren't seen, as all paths light could take from objects farther in point inwards towards the singularity.
The amount of proper time a faller experiences below the event horizon depends upon where they started from rest, with the maximum being for someone who starts from rest at the event horizon. A study in 2007 examined the effect of firing a rocket pack with the black hole, showing that this can only reduce the proper time of a person who starts from rest at the event horizon. However, for anyone else, a judicious burst of the rocket can extend the lifetime of the faller, but overdoing it will again reduce the proper time experienced. However, this cannot prevent the inevitable collision with the central singularity.
Hitting the singularity
As an infalling object approaches the singularity, tidal forces acting on it approach infinity. All components of the object, including atoms and subatomic particles, are torn away from each other before striking the singularity. At the singularity itself, effects are unknown; a theory of quantum gravity is needed to accurately describe events near it. Regardless, as soon as an object passes within the hole's event horizon, it is lost to the outside universe. An observer far from the hole simply sees the hole's mass, charge, and angular momentum change slightly, to reflect the addition of the infalling object's matter. After the event horizon all is unknown. Anything that passes this point cannot be retrieved to study.
Black hole parameters
Astrophysical black holes are characterized by two parameters: their mass and their angular momentum (or spin). The mass parameter M is equivalent to a characteristic length GM/c2=1.48 km(M/M0) , or a characteristic timescale GM/c³=4.93 x 10-6(M/M0) , where M0 denotes the mass of the Sun. These scales, for example, give the order of magnitude of the radii and periods of near-hole orbits. The timescale also applies to the process in which a developing horizon settles into its asymptotically stationary form. For a stellar mass hole this is of order 10-5 sec , while for a supermassive hole of 108 M0 , it is thousands of seconds.
For Schwarzschild holes, and approximately for Kerr holes, the horizon is at radius RH=2GM/c². At the horizon the "acceleration of gravity" has no meaning, since a falling observer cannot stop at the horizon to be weighed. What is relevant at the horizon is the tidal stresses that stretch and distort the falling observer. This tidal stretching is given by the same expression, the gradient of the gravitational acceleration, as in Newtonian theory: 2GM/RH3=c6/(4G2M2) .
In the case of a solar mass black hole the tidal stress (acceleration per unit length) is enormous at the horizon, on the order of : 3 x 109(M/M0)2 sec-2 : that is, a person would experience a differential gravitational field of about 109 Earth gravities, enough to rip apart ordinary materials. For a supermassive hole, by contrast, the tidal force at the horizon is smaller by a typical factor 1010-16 and would be easily survivable. However, at the central singularity, deep inside the event horizon, the tidal stress is infinite. In addition to its mass M, the Kerr spacetime is described with a spin parameter 'a' defined by the dimensionless expression a/M= cJ/GM2 where J is the angular momentum of the hole. For the Sun (based on surface rotation) this number is about 0.2, and is much larger for many stars. Since angular momentum is ubiquitous in astrophysics, and since it is expected to be approximately conserved during collapse and black hole formation, astrophysical holes are expected to have significant values of a/M , from several tenths up to and approaching unity.
The value of a/M can be unity (an "extreme" Kerr hole), but it cannot be greater than unity. In the mathematics of general relativity, exceeding this limit replaces the event horizon with an inner boundary on the spacetime where tidal forces become infinite. Because this singularity is "visible" to observers, rather than hidden behind a horizon, as in a black hole, it is called a naked singularity. Toy models and heuristic arguments suggest that as a/M approaches unity it becomes more and more difficult to add angular momentum. The conjecture that such mechanisms will always keep a/M below unity is called cosmic censorship.
The inclusion of angular momentum changes details of the description of the horizon, so that, for example, the horizon area becomes Horizon area= 4πG2/c4[{M+(M²-a²)1/2}²+a²]
This modification of the Schwarzschild (a=0) result is not significant until a/M becomes very close to unity. For this reason, good estimates can be made in many astrophysical scenarios with a ignored.
Formation and evaporation
Formation of stellar-mass black holes
Stellar-mass black holes are formed in two ways:
- As a direct result of the gravitational collapse of a star.
- By collisions between neutron stars. Although neutron stars are fairly common, collisions appear to be very rare. Neutron stars are also formed by gravitational collapse, which is therefore ultimately responsible for all stellar-mass black holes.
Stars undergo gravitational collapse when they can no longer resist the pressure of their own gravity. This usually occurs either because a star has too little "fuel" left to maintain its temperature, or because a star which would have been stable receives a lot of extra matter in a way which does not raise its core temperature. In either case the star's temperature is no longer high enough to prevent it from collapsing under its own weight (the ideal gas law explains the connection between pressure, temperature, and volume).
The collapse transforms the matter in the star's core into a denser state which forms one of the types of compact star. Which type of compact star is formed depends on the mass of the remnant - the matter left over after changes triggered by the collapse (such as supernova or pulsations leading to a planetary nebula) have blown away the outer layers. Note that this can be substantially less than the original star - remnants exceeding 5 solar masses are produced by stars which were over 20 solar masses before the collapse.
Only the largest remnants, those exceeding a particular limit (the Tolman-Oppenheimer-Volkoff limit, not to be confused with the Chandrasekhar limit), generate enough pressure to produce black holes, because black holes are the most radically transformed state of matter known to physics, and the force which resists this level of compression, neutron degeneracy pressure, is extremely strong. But any remnant this size will never be able to stop collapsing, and when its outer radius falls below its Schwarzschild radius, the transition to black hole is complete.
The collapse process for stars producing remnants this size releases energy which usually produces a supernova, blowing the star's outer layers into space so that they form a spectacular nebula (this sort of nebula is called a supernova remnant). But the supernova is a side-effect and does not directly contribute to producing the black hole (or other type of compact star). For example a few gamma ray bursts were expected to be followed by evidence of supernovae but this evidence did not appear. One possible explanation is that some very large stars can form black holes fast enough to swallow the supernova blast wave before it can reach the surface of the star.
Formation of larger black holes
There are two main ways in which black holes of larger than stellar mass can be formed:
- Stellar-mass black holes may act as "seeds" which grow by absorbing mass from interstellar gas and dust, stars and planets or smaller black holes.
- Star clusters of large total mass may be merged into single bodies by their members' gravitational attraction. This will usually produce a supergiant or hypergiant star which runs short of "fuel" in a few million years and then undergoes gravitational collapse, produces a supernova or hypernova and spends the rest of its existence as a black hole.
Formation of smaller black holes
No known process currently active in the universe can form black holes of less than stellar mass. This is because all present known black hole formation is through gravitational collapse, and the smallest mass which can collapse to form a black hole produces a hole approximately 1.5-3.0 times the mass of the sun (the Tolman-Oppenheimer-Volkoff limit). Smaller masses collapse to form white dwarf stars or neutron stars.
There are still a few ways in which smaller black holes might be formed, or might have formed in the past.
Evaporation of larger black holes
Larger black holes evaporate. If the initial mass of the hole was stellar mass, the time required for it to lose most of its mass via Hawking evaporation is much longer than the age of the universe, so small black holes are not expected to have formed by this method yet.
Big Bang
The Big Bang produced sufficient pressure to form smaller black holes without the need for anything resembling a star. None of these hypothesized primordial black holes have been detected.
Particle accelerators
In principle, a sufficiently energetic collision within a very powerful Particle accelerator could produce a micro black hole. In practice, this is expected to require energies comparable to the Planck energy, which is vastly beyond the capability of any present, planned, or expected future particle accelerator to produce. Some speculative models allow the formation of black holes at much lower energies. This would allow production of extremely short-lived black holes in terrestrial particle accelerators. No evidence of this type of black hole production has been presented as of 2007.
See Micro black hole escaping from a particle accelerator
Evaporation
Hawking radiation is a theoretical process by which black holes can evaporate into nothing. As there is no experimental evidence to corroborate it and there are still some major questions about the theoretical basis of the process, there is still debate about whether Hawking radiation can enable black holes to evaporate.
Quantum mechanics says that even the purest vacuum is not completely empty but is instead a "sea" of energy (known as zero-point energy) which has wave-like Fluctuation (thermodynamics). We cannot observe this "sea" of energy directly because there is no lower energy level with which we can compare it. The Heisenberg uncertainty principle dictates that it is impossible to know the exact value of the mass-energy and position pairings. The fluctuations in this sea produce pairs of particles in which one is made of normal matter and the other is the corresponding antiparticle (special relativity proves mass-energy equivalence, i.e. that mass can be converted into energy and vice versa). Normally each would soon meet another instance of its antiparticle and the two would be totally converted into energy, restoring the overall matter-energy balance as it was before the pair of particles was created. The Hawking radiation theory suggests that, if such a pair of particles is created just outside the event horizon of a black hole, one of the two particles may fall into the black hole while the other escapes, because the two particles move in slightly different directions after their creation. From the point of view of an outside observer, the black hole has just emitted a particle and therefore the black hole has lost a minute amount of its mass.
If the Hawking radiation theory is correct, only the very smallest black holes are likely to evaporate in this way. For example a black hole with the mass of our Moon would gain as much energy (and therefore mass - mass-energy equivalence again) from cosmic microwave background radiation as it emits by Hawking radiation, and larger black holes will gain more energy (and mass) than they emit. To put this in perspective, the smallest black hole which can be created naturally at present is about 5 times the mass of our sun, so most black holes have much greater mass than our Moon.
Over time the cosmic microwave background radiation becomes weaker. Eventually it will be weak enough so that more Hawking radiation will be emitted than the energy of the background radiation being absorbed by the black hole. Through this process, even the largest black holes will eventually evaporate. However, this process may take nearly a googol years to complete.
Techniques for finding black holes
Accretion disks and gas jets
Most accretion disks and gas jets are not clear proof that a stellar-mass black hole is present, because other massive, ultra-dense objects such as neutron stars and white dwarfs cause accretion disks and gas jets to form and to behave in the same ways as those around black holes. But they can often help by telling astronomers where it might be worth looking for a black hole.
On the other hand, extremely large accretion disks and gas jets may be good evidence for the presence of supermassive black holes, because as far as we know any mass large enough to power these phenomena must be a black hole.
Strong radiation emissions
Steady X-ray and gamma ray emissions also do not prove that a black hole is present, but can tell astronomers where it might be worth looking for one - and they have the advantage that they pass fairly easily through nebulae and gas clouds.
But strong, irregular emissions of X-rays, gamma rays and other electromagnetic radiation can help to prove that a massive, ultra-dense object is not a black hole, so that "black hole hunters" can move on to some other object. Neutron stars and other very dense stars have surfaces, and matter colliding with the surface at a high percentage of the speed of light will produce intense flares of radiation at irregular intervals. Black holes have no material surface, so the absence of irregular flares round a massive, ultra-dense object suggests that there is a good chance of finding a black hole there.
Intense but one-time gamma ray bursts (GRBs) may signal the birth of "new" black holes, because astrophysicists think that GRBs are caused either by the gravitational collapse of giant stars or by collisions between neutron stars, and both types of event involve sufficient mass and pressure to produce black holes. But it appears that a collision between a neutron star and a black hole can also cause a GRB, so a GRB is not proof that a "new" black hole has been formed. All known GRBs come from outside our own galaxy, and most come from billions of light years away so the black holes associated with them are actually billions of years old.
Some astrophysicists believe that some ultraluminous X-ray sources may be the accretion disks of intermediate-mass black holes.
Quasars are thought to be the accretion disks of supermassive black holes, since no other known object is powerful enough to produce such strong emissions. Quasars produce strong emission across the electromagnetic spectrum, including UV, X-rays and gamma-rays and are visible at tremendous distances due to their high luminosity. Between 5 and 25% of quasars are "radio loud," so called because of their powerful radio emission.
Gravitational lensing
A gravitational lens is formed when the light from a very distant, bright source (such as a quasar) is "bent" around a massive object (such as a black hole) between the source object and the observer. The process is known as gravitational lensing, and is one of the predictions of Albert Einstein's general theory of relativity. According to this theory, mass "warps" space-time to create gravitational fields and therefore bend light as a result.
A source image behind the lens may appear as multiple images to the observer. In cases where the source, massive lensing object, and the observer lie in a straight line, the source will appear as a ring behind the massive object.
Gravitational lensing can be caused by objects other than black holes, because any very strong gravitational field will bend light rays. Some of these multiple-image effects are probably produced by distant galaxies.
Objects orbiting possible black holes
Some large celestial objects are almost certainly orbiting around black holes, and the principles behind this conclusion are surprisingly simple if we consider a circular orbit first (although all known closed astronomical orbits are elliptical):
- The radius of the central object round which the observed object is orbiting must be less than the radius of the orbit, otherwise the two objects would collide.
- The orbital period and the radius of the orbit make it easy to calculate the centrifugal force created by the orbiting object. Strictly speaking, the centrifugal force also depends on the orbiting object's mass, but the next two steps show why we can get away with pretending this is a fixed number: e.g., 1.
- The gravitational attraction between the central object and the orbiting object must be exactly equal to the centrifugal force, otherwise the orbiting body would either spiral into the central object or drift away.
- The required gravitational attraction depends on the mass of the central object, the mass of the orbiting object, and the radius of the orbit. But we can simplify the calculation of both the centrifugal force and the gravitational attraction by pretending that the mass of the orbiting object is the same fixed number: e.g., 1. This makes it very easy to calculate the mass of the central object.
- If the Schwarzschild radius for a body with the mass of the central object is greater than the maximum radius of the central object, the central object must be a black hole whose event horizon's radius is equal to the Schwarzschild radius.
Unfortunately, since the time of Johannes Kepler, astronomers have had to deal with the complications of real astronomy:
- Astronomical orbits are elliptical. This complicates the calculation of the centrifugal force, the gravitational attraction, and the maximum radius of the central body. But Kepler could handle this without needing a computer.
- The orbital periods in this type of situation are several years, so several years' worth of observations are needed to determine the actual orbit accurately. The "possibly a black hole" indicators (accretion disks, gas jets, radiation emissions, etc.) help "black hole hunters" to decide which orbits are worth observing for such long periods.
- If there are other large bodies within a few light years, their gravity fields will perturb the orbit. Adjusting the calculations to filter out the effects of perturbation can be difficult, but astronomers are used to doing it.
Black hole candidates
Although black holes cannot be detected directly, many observational studies have provided substantial evidence for black holes. Black holes may be divided into three classes of objects:
- Stellar mass black holes have masses that are equivalent to the masses of individual stars (4–15 times the mass of our Sun).
- Intermediate-mass black hole have masses that are a few hundred to a few thousand times the mass of the Sun.
- Supermassive black holes have masses ranging from on the order of 105 to 1010 times the mass of the Sun.
Further details are given below.
Supermassive black holes at the centers of galaxies

According to the American Astronomical Society, every large galaxy has a supermassive black hole at its centre. The black hole’s mass is proportional to the mass of the host galaxy, suggesting that the two are linked very closely. The Hubble and ground-based telescopes in Hawaii were used in a large survey of galaxies.
For decades, astronomers have used the term " active galaxy" to describe galaxies with unusual characteristics, such as unusual spectral line emission and very strong radio emission. However, theoretical and observational studies have shown that the active galactic nuclei (AGN) in these galaxies may contain supermassive black holes. The models of these AGN consist of a central black hole that may be millions or billions of times more massive than the Sun; a disk of gas and dust called an accretion disk; and two jets that are perpendicular to the accretion disk.
Although supermassive black holes are expected to be found in most AGN, only some galaxies' nuclei have been more carefully studied in attempts to both identify and measure the actual masses of the central supermassive black hole candidates. Some of the most notable galaxies with supermassive black hole candidates include the Andromeda Galaxy, M32, M87, NGC 3115, NGC 3377, NGC 4258, and the Sombrero Galaxy.
Astronomers are confident that our own Milky Way galaxy has a supermassive black hole at its centre, in a region called Sagittarius A*:
- A star called S2 (star) follows an elliptical orbit with a period of 15.2 years and a pericenter (closest) distance of 17 light hours from the central object.
- The first estimates indicated that the central object contains 2.6M (2.6 million) solar masses and has a radius of less than 17 light hours. Only a black hole can contain such a vast mass in such a small volume.
- Further observations strengthened the case for a black hole, by showing that the central object's mass is about 3.7M solar masses and its radius no more than 6.25 light-hours.
Stellar-mass black holes in the Milky Way
Our Milky Way galaxy contains several probable stellar-mass black holes which are closer to us than the supermassive black hole in the Sagittarius A* region. These candidates are all members of X-ray binary systems in which the denser object draws matter from its partner via an accretion disk. The probable black holes in these pairs range from three to more than a dozen solar masses. The most distant stellar-mass black hole ever observed is a member of a binary system located in the Messier 33 galaxy.
Micro black holes
In theory there is no smallest size for a black hole. Once created, it has the properties of a black hole. Stephen Hawking theorized that primordial black holes could evaporate and become even tinier, i.e. micro black holes. Searches for evaporating primordial black holes are proposed for the GLAST satellite to be launched in 2008. However, if micro black holes can be created by other means, such as by cosmic ray impacts or in colliders, that does not imply that they must evaporate.
The formation of black hole analogs on Earth in particle accelerators has been reported. These black hole analogs are not the same as gravitational black holes, but they are vital testing grounds for quantum theories of gravity.
They act like black holes because of the correspondence between the theory of the strong nuclear force, which has nothing to do with gravity, and the quantum theory of gravity. They are similar because both are described by string theory. So the formation and disintegration of a fireball in quark gluon plasma can be interpreted in black hole language. The fireball at the Relativistic Heavy Ion Collider [RHIC] is a phenomenon which is closely analogous to a black hole, and many of its physical properties can be correctly predicted using this analogy. The fireball, however, is not a gravitational object. It is presently unknown whether the much more energetic Large Hadron Collider [LHC] would be capable of producing the speculative large extra dimension micro black hole, as many theorists have suggested.
History of the black hole concept
The Newtonian conceptions of Michell and Laplace are often referred to as " dark stars" to distinguish them from the "black holes" of general relativity.
Newtonian theories (before Einstein)
The concept of a body so massive that even light could not escape was put forward by the geologist John Michell in a letter written to Henry Cavendish in 1783 and published by the Royal Society.
| “ | If the semi-diameter of a sphere of the same density as the Sun were to exceed that of the Sun in the proportion of 500 to 1, a body falling from an infinite height towards it would have acquired at its surface greater velocity than that of light, and consequently supposing light to be attracted by the same force in proportion to its vis inertiae, with other bodies, all light emitted from such a body would be made to return towards it by its own proper gravity. | ” |
This assumes that light is influenced by gravity in the same way as massive objects.
In 1796, the mathematician Pierre-Simon Laplace promoted the same idea in the first and second editions of his book Exposition du système du Monde (it was removed from later editions).
The idea of black holes was largely ignored in the nineteenth century, since light was then thought to be a massless wave and therefore not influenced by gravity. Unlike a modern black hole, the object behind the horizon is assumed to be stable against collapse.
Theories based on Einstein's general relativity
In 1915, Albert Einstein developed the theory of gravity called general relativity, having earlier shown that gravity does influence light (although light has zero rest mass, it is not the rest mass that is the source of gravity but the energy). A few months later, Karl Schwarzschild gave the solution for the gravitational field of a point mass and a spherical mass, showing that a black hole could theoretically exist. The Schwarzschild radius is now known to be the radius of the event horizon of a non-rotating black hole, but this was not well understood at that time, for example Schwarzschild himself thought it was not physical. Johannes Droste, a student of Lorentz, independently gave the same solution for the point mass a few months after Schwarzschild and wrote more extensively about its properties.
In 1930, the astrophysicist Subrahmanyan Chandrasekhar argued that, according to special relativity, a non-rotating body above 1.44 solar masses (the Chandrasekhar limit), would collapse since there was nothing known at that time could stop it from doing so. His arguments were opposed by Arthur Eddington, who believed that something would inevitably stop the collapse. Eddington was partly right: a white dwarf slightly more massive than the Chandrasekhar limit will collapse into a neutron star. But in 1939, Robert Oppenheimer published papers (with various co-authors) which predicted that stars above about three solar masses (the Tolman-Oppenheimer-Volkoff limit) would collapse into black holes for the reasons presented by Chandrasekhar.
Oppenheimer and his co-authors used Schwarzschild's system of coordinates (the only coordinates available in 1939), which produced mathematical singularities at the Schwarzschild radius, in other words the equations broke down at the Schwarzschild radius because some of the terms were infinite. This was interpreted as indicating that the Schwarzschild radius was the boundary of a "bubble" in which time "stopped". For a few years the collapsed stars were known as "frozen stars" because the calculations indicated that an outside observer would see the surface of the star frozen in time at the instant where its collapse takes it inside the Schwarzschild radius. But many physicists could not accept the idea of time standing still inside the Schwarzschild radius, and there was little interest in the subject for over 20 years.
In 1958 David Finkelstein broke the deadlock over "stopped time" and introduced the concept of the event horizon by presenting the Eddington-Finkelstein coordinates, which enabled him to show that "The Schwarzschild surface r = 2 m is not a singularity but acts as a perfect unidirectional membrane: causal influences can cross it but only in one direction". Note that at this stage all theories, including Finkelstein's, covered only non-rotating, uncharged black holes.
In 1963 Roy Kerr extended Finkelstein's analysis by presenting the Kerr metric (coordinates) and showing how this made it possible to predict the properties of rotating black holes. In addition to its theoretical interest, Kerr's work made black holes more believable for astronomers, since black holes are formed from stars and all known stars rotate.
In 1967 astronomers discovered pulsars, and within a few years could show that the known pulsars were rapidly rotating neutron stars. Until that time, neutron stars were also regarded as just theoretical curiosities. So the discovery of pulsars awakened interest in all types of ultra-dense objects that might be formed by gravitational collapse.
In December 1967 the theoretical physicist John Wheeler coined the expression "black hole" in his public lecture Our Universe: the Known and Unknown, and this mysterious, slightly menacing phrase attracted more attention than the static-sounding "frozen star". The phrase was probably coined with the awareness of the Black Hole of Calcutta incident of 1756 in which 146 Europeans were locked up overnight in punishment cell of barracks at Fort William by Siraj ud-Daulah, and all but 23 perished.
In 1970, Stephen Hawking and Roger Penrose proved that black holes are a feature of all solutions to Einstein's equations of gravity, not just of Schwarzschild's, and therefore black holes cannot be avoided in some collapsing objects.
Black holes and Earth
Black holes are sometimes listed among the most serious potential threats to Earth and humanity, on the grounds that:
- A naturally-produced black hole could pass through our Solar System.
- Although it is purely hypothetical, a large particle accelerator might produce a micro black hole, and if this escaped it could gradually eat the whole of the Earth. The black hole in this scenario may be replaced by a strangelet, another type of object which can absorb other particles despite the Earth's gravity and eventually accumulate enough mass to become an averaged sized black hole.
Black hole wandering through our Solar System
Stellar-mass black holes travel through the Milky Way just like stars. Consequently, they may collide with the Solar System or another planetary system in the galaxy, although the probability of this happening is very small. Significant gravitational interactions between the Sun and any other star in the Milky Way (including a black hole) are expected to occur approximately once every 1019 years. For comparison, the Sun has an age of only 5 × 109 years, and is expected to become a red giant about 5 × 109 years from now, incinerating the surface of the Earth. Hence it is extremely unlikely that a black hole will pass through the Solar System before the Sun exterminates life on Earth.
Micro black hole escaping from a particle accelerator
There is a theoretical possibility that a micro black hole might be created inside a particle accelerator. Formation of black holes under these conditions (below the Planck energy) requires non-standard assumptions, such as large extra dimensions.
However, many particle collisions that naturally occur as the cosmic rays hit the edge of our atmosphere are often far more energetic than any collisions created by man. If micro black holes can be created by current or next-generation particle accelerators, they have probably been created by cosmic rays every day throughout most of Earth's history, i.e. for billions of years, evidently without earth-destroying effects. However, such natural micro black holes would be relativistic relative to earth, and should zip safely through our planet in 1/4 second or less at 99.99+% c. Collider produced micro black holes would be relatively "at rest" where they could become gravitationally bound, affording repeated opportunity to interact and grow larger, travelling at a tiny fraction of c, if Hawking Radiation is not real. This distinction between nature-made and man-made micro black holes has not yet been addressed in any of the safety studies on potential collider production of micro black holes.
If two protons at the Large Hadron Collider could merge to create a micro black hole, this black hole would be unstable, and would evaporate due to Hawking radiation before it had a chance to propagate. For a 14 TeV black hole (the centre-of-mass energy at the Large Hadron Collider), the Hawking radiation formula indicates that it would evaporate in 10-100 seconds.
CERN conducted a study assessing the risk of producing dangerous objects such as black holes at the Large Hadron Collider, and concluded that there is "no basis for any conceivable threat." However, due to renewed concerns about both potential negative strangelet production, and LHC micro black holes that are "at rest" compared to natural micro black holes that are relativistic, CERN commissioned another study in 2007, with the results to be published in early 2008. Essentially, the concern is that due to their tiny size, a relativistic micro black hole would barely interact while traversing earth, being very similar to a neutrino in having a low cross-section for interaction, and therefore harmless. Conversely, the relatively slow speed of collider-produced micro black holes and their gravitational binding to earth would allow for repeated opportunity to interact with matter, eventually allowing such micro black hole to grow larger. These speculative scenarios also require that theoretical Hawking Radiation is not real.
Alternative models
Several alternative models, which behave like a black hole but avoid the singularity, have been proposed. However, most researchers judge these concepts artificial, as they are more complicated but do not give near term observable differences from black holes (see Occam's razor). The most prominent alternative theory is the Gravastar.
In March 2005, physicist George Chapline at the Lawrence Livermore National Laboratory in California proposed that black holes do not exist, and that objects currently thought to be black holes are actually dark-energy stars. He draws this conclusion from some quantum mechanical analyses. Although his proposal currently has little support in the physics community, it was widely reported by the media. A similar theory about the non-existence of black holes was later developed by a group of physicists at Case Western Reserve University in June 2007.
Among the alternate models are magnetospheric eternally collapsing objects, clusters of elementary particles (e.g., boson stars), fermion balls, self-gravitating, degenerate heavy neutrinos and even clusters of very low mass (~0.04 solar mass) black holes.
More advanced topics
Entropy and Hawking radiation
In 1971, Stephen Hawking showed that the total area of the event horizons of any collection of classical black holes can never decrease, even if they collide and swallow each other; that is merge. This is remarkably similar to the Second Law of Thermodynamics, with area playing the role of entropy. As a classical object with zero temperature it was assumed that black holes had zero entropy; if so the second law of thermodynamics would be violated by an entropy-laden material entering the black hole, resulting in a decrease of the total entropy of the universe. Therefore, Jacob Bekenstein proposed that a black hole should have an entropy, and that it should be proportional to its horizon area. Since black holes do not classically emit radiation, the thermodynamic viewpoint seemed simply an analogy, since zero temperature implies infinite changes in entropy with any addition of heat, which implies infinite entropy. However, in 1974, Hawking applied quantum field theory to the curved spacetime around the event horizon and discovered that black holes emit Hawking radiation, a form of thermal radiation, allied to the Unruh effect, which implied they had a positive temperature. This strengthened the analogy being drawn between black hole dynamics and thermodynamics: using the first law of black hole mechanics, it follows that the entropy of a non-rotating black hole is one quarter of the area of the horizon. This is a universal result and can be extended to apply to cosmological horizons such as in de Sitter space. It was later suggested that black holes are maximum-entropy objects, meaning that the maximum possible entropy of a region of space is the entropy of the largest black hole that can fit into it. This led to the holographic principle.
The Hawking radiation reflects a characteristic temperature of the black hole, which can be calculated from its entropy. The more its temperature falls, the more massive a black hole becomes: the more energy a black hole absorbs, the colder it gets. A black hole with roughly the mass of the planet Mercury would have a temperature in equilibrium with the cosmic microwave background radiation (about 2.73 K). More massive than this, a black hole will be colder than the background radiation, and it will gain energy from the background faster than it gives energy up through Hawking radiation, becoming even colder still. However, for a less massive black hole the effect implies that the mass of the black hole will slowly evaporate with time, with the black hole becoming hotter and hotter as it does so. Although these effects are negligible for black holes massive enough to have been formed astronomically, they would rapidly become significant for hypothetical smaller black holes, where quantum-mechanical effects dominate. Indeed, small black holes are predicted to undergo runaway evaporation and eventually vanish in a burst of radiation.

Although general relativity can be used to perform a semi-classical calculation of black hole entropy, this situation is theoretically unsatisfying. In statistical mechanics, entropy is understood as counting the number of microscopic configurations of a system which have the same macroscopic qualities(such as mass, charge, pressure, etc.). But without a satisfactory theory of quantum gravity, one cannot perform such a computation for black holes. Some promise has been shown by string theory, however. There one posits that the microscopic degrees of freedom of the black hole are D-branes. By counting the states of D-branes with given charges and energy, the entropy for certain supersymmetric black holes has been reproduced. Extending the region of validity of these calculations is an ongoing area of research.
Black hole unitarity
An open question in fundamental physics is the so-called information loss paradox, or black hole unitarity paradox. Classically, the laws of physics are the same run forward or in reverse. That is, if the position and velocity of every particle in the universe were measured, we could (disregarding chaos) work backwards to discover the history of the universe arbitrarily far in the past. In quantum mechanics, this corresponds to a vital property called unitarity which has to do with the conservation of probability.
Black holes, however, might violate this rule. The position under classical general relativity is subtle but straightforward: because of the classical no hair theorem, we can never determine what went into the black hole. However, as seen from the outside, information is never actually destroyed, as matter falling into the black hole takes an infinite time to reach the event horizon.
Ideas about quantum gravity, on the other hand, suggest that there can only be a limited finite entropy (i.e. a maximum finite amount of information) associated with the space near the horizon; but the change in the entropy of the horizon plus the entropy of the Hawking radiation is always sufficient to take up all of the entropy of matter and energy falling into the black hole.
Many physicists are concerned however that this is still not sufficiently well understood. In particular, at a quantum level, is the quantum state of the Hawking radiation uniquely determined by the history of what has fallen into the black hole; and is the history of what has fallen into the black hole uniquely determined by the quantum state of the black hole and the radiation? This is what determinism, and unitarity, would require.
For a long time Stephen Hawking had opposed such ideas, holding to his original 1975 position that the Hawking radiation is entirely thermal and therefore entirely random, containing none of the information held in material the hole has swallowed in the past; this information he reasoned had been lost. However, on 21 July 2004 he presented a new argument, reversing his previous position. On this new calculation, the entropy (and hence information) associated with the black hole escapes in the Hawking radiation itself, although making sense of it, even in principle, is still difficult until the black hole completes its evaporation; until then it is impossible to relate in a 1:1 way the information in the Hawking radiation (embodied in its detailed internal correlations) to the initial state of the system. Once the black hole evaporates completely, then such an identification can be made, and unitarity is preserved.
By the time Hawking completed his calculation, it was already very clear from the AdS/CFT correspondence that black holes decay in a unitary way. This is because the fireballs in gauge theories, which are analogous to Hawking radiation are unquestionably unitary. Hawking's new calculation have not really been evaluated by the specialist scientific community, because the methods he uses are unfamiliar and of dubious consistency; but Hawking himself found it sufficiently convincing to pay out on a bet he had made in 1997 with Caltech physicist John Preskill, to considerable media interest.
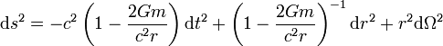
Mathematical theory of non-rotating, uncharged black holes
In general relativity, there are many known solutions of the Einstein field equations which describes different types of black holes. The Schwarzschild metric is one of the earliest and simplest solutions. This solution describes the curvature of spacetime in the vicinity of a static and spherically symmetric uncharged object, where the metric is,
,
where
is a standard element of solid angle.
According to general relativity, a gravitating object will collapse into a black hole if its radius is smaller than a characteristic distance, known as the Schwarzschild radius. (Indeed, Buchdahl's theorem in general relativity shows that in the case of a perfect fluid model of a compact object, the true lower limit is somewhat larger than the Schwarzschild radius.) Below this radius, spacetime is so strongly curved that any light ray emitted in this region, regardless of the direction in which it is emitted, will travel towards the centre of the system. Because relativity forbids anything from traveling faster than light, anything below the Schwarzschild radius – including the constituent particles of the gravitating object – will collapse into the centre. A gravitational singularity, a region of theoretically infinite density, forms at this point. Because not even light can escape from within the Schwarzschild radius, a classical black hole would truly appear black.
The Schwarzschild radius is given by
where G is the gravitational constant, m is the mass of the object, and c is the speed of light. For an object with the mass of the Earth, the Schwarzschild radius is a mere 9 millimeters — about the size of a marble.
The mean density inside the Schwarzschild radius decreases as the mass of the black hole increases, so while an earth-mass black hole would have a density of 2 × 1030 kg/m³, a supermassive black hole of 109 solar masses has a density of around 20 kg/m³, less than water! The mean density is given by
Since the Earth has a mean radius of 6371 km, its volume would have to be reduced 4 × 1026 times to collapse into a black hole. For an object with the mass of the Sun, the Schwarzschild radius is approximately 3 km, much smaller than the Sun's current radius of about 696,000 km. It is also significantly smaller than the radius to which the Sun will ultimately shrink after exhausting its nuclear fuel, which is several thousand kilometers. More massive stars can collapse into black holes at the end of their lifetimes.
The formula also implies that any object with a given mean density is a black hole if its radius is large enough. The same formula applies for white holes as well. For example, if the observable universe has a mean density equal to the critical density, then it is a white hole, since its singularity is in the past and not in the future as should be for a black hole.
There is also the Black Hole Entropy formula:
Where A is the area of the event horizon of the black hole,
is Dirac's constant (the "reduced Planck constant"), k is the Boltzmann constant, G is the gravitational constant, c is the speed of light and S is the entropy.
A convenient length scale to measure black hole processes is the "gravitational radius", which is equal to
When expressed in terms of this length scale, many phenomena appear at integer radii. For example, the radius of a Schwarzschild black hole is two gravitational radii and the radius of a maximally rotating Kerr black hole is one gravitational radius. The location of the light circularization radius around a Schwarzschild black hole (where light may orbit the hole in an unstable circular orbit) is 3rG. The location of the marginally stable orbit, thought to be close to the inner edge of an accretion disk, is at 6rG for a Schwarzschild black hole.










