Goldbach's conjecture
2008/9 Schools Wikipedia Selection. Related subjects: Mathematics
Goldbach's conjecture is one of the oldest unsolved problems in number theory and in all of mathematics. It states:
Expressing a given even number as a sum of two primes is called a Goldbach partition of the number. For example,
- 4 = 2 + 2
- 6 = 3 + 3
- 8 = 3 + 5
- 10 = 3 + 7 = 5 + 5
- 12 = 5 + 7
- 14 = 3 + 11 = 7 + 7
- …
- 6 = 3 + 3
In other words, the Goldbach conjecture states that every even number greater than or equal to four is a Goldbach number, a number that can be expressed as the sum of two primes. See also Levy's conjecture.
Origins
On 7 June 1742, the Prussian mathematician Christian Goldbach wrote a letter to Leonhard Euler (letter XLIII) in which he proposed the following conjecture:
- Every integer greater than 2 can be written as the sum of three primes.
He considered 1 to be a prime number, a convention subsequently abandoned. A modern version of Goldbach's original conjecture is:
- Every integer greater than 5 can be written as the sum of three primes.
Euler, becoming interested in the problem, replied by noting that this conjecture is equivalent with another version:
- Every even integer greater than 2 can be written as the sum of two primes,
adding that he regarded this an entirely certain theorem ("ein ganz gewisses Theorema"), in spite of his being unable to prove it.
Euler's version is the form in which the conjecture is usually expressed today. It is also known as the " strong", "even", or "binary" Goldbach conjecture, to distinguish it from a weaker corollary. The strong Goldbach conjecture implies the conjecture that all odd numbers greater than 7 are the sum of three odd primes, which is known today variously as the "weak" Goldbach conjecture, the "odd" Goldbach conjecture, or the "ternary" Goldbach conjecture. Both questions have remained unsolved ever since, although the weak form of the conjecture appears to be much closer to resolution than the strong one. If the strong Goldbach conjecture is true, the weak Goldbach conjecture will be true by implication.
Verified results
For small values of n, the strong Goldbach conjecture (and hence the weak Goldbach conjecture) can be verified directly. For instance, N. Pipping in 1938 laboriously verified the conjecture up to
. With the advent of computers, many more small values of n have been checked; T. Oliveira e Silva is running a distributed computer search that has verified the conjecture for
.
The Goldbach conjecture does not say that a number must be the sum of a unique pair of prime numbers. The examples in this article illustrate that more than one pair of prime numbers may sum to the same number.
Heuristic justification
Statistical considerations which focus on the probabilistic distribution of prime numbers present informal evidence in favour of the conjecture (in both the weak and strong forms) for sufficiently large integers: the greater the integer, the more ways there are available for that number to be represented as the sum of two or three other numbers, and the more "likely" it becomes that at least one of these representations consists entirely of primes.
A very crude version of the heuristic probabilistic argument (for the strong form of the Goldbach conjecture) is as follows. The prime number theorem asserts that an integer m selected at random has roughly a
chance of being prime. Thus if n is a large even integer and m is a number between 3 and n/2, then one might expect the probability of m and n-m simultaneously being prime to be
. This heuristic is non-rigorous for a number of reasons; for instance, it assumes that the events that m and n − m are prime are statistically independent of each other. Nevertheless, if one pursues this heuristic, one might expect the total number of ways to write a large even integer n as the sum of two odd primes to be roughly
Since this quantity goes to infinity as n increases, we expect that every large even integer has not just one representation as the sum of two primes, but in fact has very many such representations.
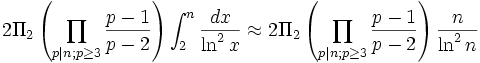
The above heuristic argument is actually somewhat inaccurate, because it ignores some dependence between the events of m and n − m being prime. For instance, if m is odd then n − m is also odd, and if m is even, then n − m is even, a non-trivial relation because (besides 2) only odd numbers can be prime. Similarly, if n is divisible by 3, and m was already a prime distinct from 3, then n − m would also be coprime to 3 and thus be slightly more likely to be prime than a general number. Pursuing this type of analysis more carefully, Hardy and Littlewood in 1923 conjectured (as part of their famous Hardy-Littlewood prime tuple conjecture) that for any fixed c ≥ 2, the number of representations of a large integer n as the sum of c primes
with
should be asymptotically equal to
where the product is over all primes p, and γc,p(n) is the number of solutions to the equation
in modular arithmetic, subject to the constraints
. This formula has been rigorously proven to be asymptotically valid for c ≥ 3 from the work of Vinogradov, but is still only a conjecture when c = 2. In the latter case, the above formula simplifies to 0 when n is odd, and to
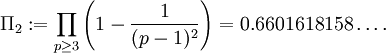
when n is even, where Π2 is the twin prime constant
This asymptotic is sometimes known as the extended Goldbach conjecture. The strong Goldbach conjecture is in fact very similar to the twin prime conjecture, and the two conjectures are believed to be of roughly comparable difficulty.
The partition functions shown here can be displayed as histograms which informatively illustrate the above equations. See Goldbach's comet.
Rigorous results
The weak Goldbach conjecture is fairly close to resolution.
The strong Goldbach conjecture is much more difficult. The work of Vinogradov in 1937 and Theodor Estermann (1902-1991) in 1938 showed that almost all even numbers can be written as the sum of two primes (in the sense that the fraction of even numbers which can be so written tends towards 1). In 1930, Lev Schnirelmann proved that every even number n ≥ 4 can be written as the sum of at most 300,000 primes. This result was subsequently improved by many authors; currently, the best known result is due to Olivier Ramaré, who in 1995 showed that every even number n ≥ 4 is in fact the sum of at most six primes. In fact, resolving the weak Goldbach conjecture will also directly imply that every even number n ≥ 4 is the sum of at most four primes.
Chen Jingrun showed in 1973 using the methods of sieve theory that every sufficiently large even number can be written as the sum of either two primes, or a prime and a semiprime (the product of two primes)—e.g., 100 = 23 + 7·11.
In 1975, Hugh Montgomery and Robert Charles Vaughan showed that "most" even numbers were expressible as the sum of two primes. More precisely, they showed that there existed positive constants c,C such that for all sufficiently large numbers N, every even number less than N is the sum of two primes, with at most CN1 − c exceptions. In particular, the set of even integers which are not the sum of two primes has density zero.
Roger Heath-Brown and Jan-Christoph Schlage-Puchta showed in 2002 that every sufficiently large even integer is a sum of two primes and exactly 13 powers of 2.
One can pose similar questions when primes are replaced by other special sets of numbers, such as the squares. For instance, it was proven by Lagrange that every positive integer is the sum of four squares. See Waring's problem.
Attempted proofs
As with many famous conjectures in mathematics, there are a number of purported proofs of the Goldbach conjecture, none of which are currently accepted by the mathematical community.
Because it is easily understood by laymen, Goldbach's conjecture is a popular target for amateur mathematicians, who often attempt to prove or disprove it using only high-school-level mathematics. It shares this fate with the four-colour theorem and Fermat's last theorem, both of which also have an easily stated problem but nevertheless appear to be solvable only through extraordinarily elaborate methods.
In popular culture
- To generate publicity for the book Uncle Petros and Goldbach's Conjecture by Apostolos Doxiadis, British publisher Tony Faber offered a $1,000,000 prize for a proof of the conjecture in 2000, if a proof was submitted before April 2002. The prize was never claimed.
- The television drama Lewis featured a mathematics professor at Oxford University who had won the Fields medal for his work on Goldbach's conjecture, which was a main plot feature.
- Isaac Asimov's short story "Sixty Million Trillion Combinations" featured a mathematician who suspected that his work on Goldbach's conjecture had been stolen.
- In the Spanish movie "La habitación de Fermat" (2007), directed by Luis Piedrahita and Rodrigo Sopeña, a young mathematician claims to have solved the Conjecture.





