Kinematics
2008/9 Schools Wikipedia Selection. Related subjects: Mathematics
Kinematics ( Greek κινειν,kinein, to move) is a branch of dynamics which describes the motion of objects without the consideration of the masses or forces that bring out the motion. In contrast, kinetics is concerned with the forces and interactions that produce or affect the motion.
The simplest application of kinematics is to point particle motion ( translational kinematics or linear kinematics). The description of rotation ( rotational kinematics or angular kinematics) is more complicated. The state of a generic rigid body may be described by combining both translational and rotational kinematics ( rigid-body kinematics). A more complicated case is the kinematics of a system of rigid bodies, possibly linked together by mechanical joints. The kinematic description of fluid flow is even more complicated, and not generally thought of in the context of kinematics.
Translational motion
Translational or curvilinear kinematics is the description of the motion in space of a point along a trajectory. This path can be linear, or curved as seen with projectile motion. There are three basic concepts that are required for understanding translational motion:
- Displacement is the shortest distance between two points: the origin and the displaced point. The origin is (0,0) on a coordinate system that is defined by the observer. Because displacement has both magnitude (length) and direction, it is a vector whose initial point is the origin and terminal point is the displaced point.
- Velocity is the rate of change in displacement with respect to time; that is the displacement of a point changes with time. Velocity is also a vector. For a constant velocity, every unit of time adds the length of the velocity vector (in the same direction) to the displacement of the moving point. Instantaneous velocity (the velocity at an instant of time) is defined as
, where ds is an infinitesimally small displacement and dt is an infinitesimally small length of time. Average velocity (velocity over a length of time) is defined as
, where Δs is the change in displacement and Δt is the interval of time over which displacement changes. - Acceleration is the rate of change in velocity with respect to time. Acceleration is also a vector. As with velocity if acceleration is constant, for every unit of time the length of the acceleration vector (in the same direction) is added to the velocity. If the change in velocity (a vector) is known, the acceleration is parallel to it. Instantaneous acceleration (the acceleration at an instant of time) is defined as
, where dv is an infinitesimally small change in velocity and dt is an infinitesimally small length of time. Average acceleration (acceleration over a length of time) is defined as
, where Δv is the change in velocity and Δt is the interval of time over which velocity changes.
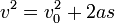
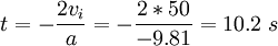
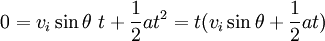
When acceleration is constant it is said to be undergoing uniformly accelerated motion. If this is the case, there are four equations that can be used to describe the motion of an object.
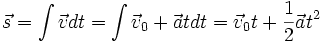
Those who are familiar with calculus may recognize this as an initial value problem. Because acceleration (a) is a constant, integrating it with respect to time (t) gives a change in velocity. Adding this to the initial velocity (v0) gives the final velocity (v).
Using the above formula, we can substitute for v to arrive at this equation, where s is displacement.
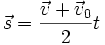
By using the definition of an average, and the knowledge that average velocity times time equals displacement, we can arrive at this equation.
Relative velocity
To describe the motion of object A with respect to object O, when we know how each is moving with respect to object B, we use the following equation involving vectors and vector addition:

The above relative motion equation states that the motion of A relative to O is equal to the motion of B relative to O plus the motion of A relative to B.
For example, let Ann move with velocity VA and let Bob move with velocity VB, each velocity given with respect to the ground. To find how fast Ann is moving relative to Bob (we call this velocity VA / B), the equation above gives:

To find VA / B we simply rearrange this equation to obtain:

At velocities comparable to the speed of light, these equations are not valid. They are replaced by equations derived from Einstein's theory of special relativity.
Rotational motion
Rotational kinematics is the description of the rotation of an object and involves the definition and use of the following three quantities:
Angular position: If a vector is defined as the oriented distance from the axis of rotation to a point on an object, the angular position of that point is the oriented angle θ from a reference axis (e.g. the positive x-semiaxis) to that vector. An oriented angle is an angle swept about a known rotation axis and in a known rotation sense. In two-dimensional kinematics (the description of planar motion), the rotation axis is normal to the reference frame and can be represented by a rotation point (or centre), and the rotation sense is represented by the sign of the angle (typically, a positive sign means counterclockwise sense). Angular displacement can be regarded as a relative position. It is represented by the oriented angle swept by the above-mentioned point (or vector), from an angular position to another.
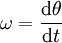
Angular velocity: The magnitude of the angular velocity ω is the rate at which the angular position θ changes with respect to time t:

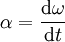
Angular acceleration: The magnitude of the angular acceleration α is the rate at which the angular velocity ω changes with respect to time t:

The equations of translational kinematics can easily be extended to planar rotational kinematics with simple variable exchanges:


.
Here
and
are, respectively, the initial and final angular positions,
and
are, respectively, the initial and final angular velocities, and
is the constant angular acceleration. Although position in space and velocity in space are both true vectors (in terms of their properties under rotation), as is angular velocity, angle itself is not a true vector.
Coordinate systems
In any given situation, the most useful coordinates may be determined by constraints on the motion, or by the geometrical nature of the force causing or affecting the motion. Thus, to describe the motion of a bead constrained to move along a circular hoop, the most useful coordinate may be its angle on the hoop. Similarly, to describe the motion of a particle acted upon by a central force, the most useful coordinates may be polar coordinates.
Fixed rectangular coordinates
In this coordinate system, vectors are expressed as an addition of vectors in the x, y, and z direction from a non-rotating origin. Usually i is a unit vector in the x direction, j is a unit vector in the y direction, and k is a unit vector in the z direction.
The position vector, s (or r), the velocity vector, v, and the acceleration vector, a are expressed using rectangular coordinates in the following way:



Note:
, 
Three dimensional rotating coordinate frame
(to be written)
Kinematic constraints
A kinematic constraint is any condition relating properties of a dynamic system that must hold true at all times. Below are some common examples:
Rolling without slipping
An object that rolls against a surface without slipping obeys the condition that the velocity of its centre of mass is equal to the cross product of its angular velocity with a vector from the point of contact to the centre of mass, :

For the case of an object that does not tip or turn, this reduces to v = R ω .
Inextensible cord
This is the case where bodies are connected by some cord that remains in tension and cannot change length. The constraint is that the sum of all components of the cord, however they are defined, is the total length, and the time derivative of this sum is zero.











