Monty Hall problem
2008/9 Schools Wikipedia Selection. Related subjects: Mathematics
The Monty Hall problem is a puzzle involving probability loosely based on the American game show Let's Make a Deal. The name comes from the show's host, Monty Hall. The problem is also called the Monty Hall paradox; it is a veridical paradox in the sense that the solution is counterintuitive.
A widely known statement of the problem appeared in a letter to Marilyn vos Savant's Ask Marilyn column in Parade:
Suppose you're on a game show, and you're given the choice of three doors: Behind one door is a car; behind the others, goats. You pick a door, say No. 1, and the host, who knows what's behind the doors, opens another door, say No. 3, which has a goat. He then says to you, "Do you want to pick door No. 2?" Is it to your advantage to switch your choice? (Whitaker 1990)
Because there is no way for the player to know which of the two unopened doors is the winning door, nearly all people assume that each door has an equal probability and conclude that switching does not matter. In fact, in the usual interpretation of the problem the player should switch—doing so doubles the probability of winning the car from 1/3 to 2/3.
When the problem and the solution appeared in Parade, approximately 10,000 readers, including several hundred mathematics professors, wrote to the magazine claiming the published solution was wrong. Some of the controversy was because the Parade statement of the problem fails to fully specify the host's behaviour and is thus technically ambiguous. However, even when given completely unambiguous problem statements, explanations, simulations, and formal mathematical proofs, many people still meet the correct answer with disbelief.
Problem
Steve Selvin wrote a letter to the American Statistician in 1975 describing a problem loosely based on the game show Let's Make a Deal (Selvin 1975a). In a subsequent letter he dubbed this problem the "Monty Hall problem" (Selvin 1975b). The problem is mathematically equivalent (Morgan et al., 1992) to the Three Prisoners Problem described in Martin Gardner's Mathematical Games column in Scientific American in 1959 (Gardner 1959). The Monty Hall problem was restated, as quoted above, in a 1990 letter to Marilyn vos Savant's Ask Marilyn column in Parade (Whitaker 1990).
The statement of the problem in the Ask Marilyn column in Parade leaves critical aspects of the host's behaviour unstated, making the problem mathematically ambiguous (Mueser and Granberg 1999). The standard analysis of the problem also assumes that the host is constrained to always open a door revealing a goat, to always make the offer to switch, and to open one of the remaining two doors randomly if the player initially picked the car (Barbeau 2000, p. 87). A mathematically explicit statement of the problem is:
Suppose you're on a game show and you're given the choice of three doors. Behind one door is a car; behind the others, goats. The car and the goats were placed randomly behind the doors before the show. The rules of the game show are as follows: After you have chosen a door, the door remains closed for the time being. The game show host, Monty Hall, who knows what is behind the doors, now has to open one of the two remaining doors, and the door he opens must have a goat behind it. If both remaining doors have goats behind them, he chooses one randomly. After Monty Hall opens a door with a goat, he will ask you to decide whether you want to stay with your first choice or to switch to the last remaining door. Imagine that you chose Door 1 and the host opens Door 3, which has a goat. He then asks you "Do you want to switch to Door Number 2?" Is it to your advantage to change your choice? (Krauss and Wang 2003, p. 10)
The player may initially choose any of the three doors, not just Door 1, and then the host opens a different door revealing a goat, not necessarily Door 3, and gives the player a second choice between the two remaining unopened doors.
Solution
The chance of initially choosing the car is one in three, which is the overall chance of winning the car by sticking with this choice. By contrast, the chance of initially choosing a door with a goat is two in three, and a player originally choosing a door with a goat wins by switching. In both cases the host must reveal a goat. In the 2/3 case where the player initially chooses a goat, the host must reveal the other goat making the only remaining door the one with the car.
As shown in the diagram above, there are three possible situations corresponding to the player's initial choice, each with probability 1/3:
- The player originally picked the door hiding the car. The game host has shown one of the two goats.
- The player originally picked the door hiding Goat A. The game host has shown the other goat.
- The player originally picked the door hiding Goat B. The game host has shown the other goat.
If the player chooses to switch, the car will be won in either of the last two cases. A player choosing to stay with the initial choice wins in only the first case. Since in two out of three equally likely cases switching wins, the probability of winning by switching is 2/3. In other words, players who switch will win the car on average two times out of three.
The reasoning above applies to all players on average without regard to which specific door the host opens and all individual players at the start of the game, but not to a specific player at the point the player is asked whether to switch given which door the host has opened (Morgan et al. 1991). This difference is subtle, but depending on the exact formulation of the problem may affect the result (see Other host behaviors, below). Determining the conditional probability of winning by switching given which door the host opens requires a different analysis.
A formal Bayesian analysis shows the probability of winning the car by switching given the host opens Door 3 is 2/3, see Bayesian analysis below.
A decision tree can be used to determine both the overall probability of winning by switching and the conditional probability given which door the host opens (Grinstead and Snell 2006, p. 137-138). Assuming the problem statement given above and that the player initially picks Door 1, the tree shows that switching wins in the two cases in which the player did not initially pick the car, with a total combined probability of 2/3. This is the overall probability of winning by switching. The tree also shows that there are only two possible conditions in which the host opens Door 2, and that switching loses in the 1/6 case where the car is behind Door 1 and wins in the 1/3 case where the car is behind Door 3. Similarly if the host opens Door 3, the tree shows switching loses in the 1/6 case where the car is behind Door 1 and wins in the 1/3 case where the car is behind Door 2. Switching wins twice as often as staying regardless of which door the host opens, so the conditional probability of winning by switching given either door the host opens is the same as the overall probability — both are 2/3.
Aids to understanding
Why the probability is 2/3
The most commonly voiced objection to the solution is that the past can be ignored when assessing the probability—that it is irrelevant which doors the player initially picks and the host opens. However, in the problem as originally presented, the player's initial choice does influence the host's available choices subsequently.
This difference can be demonstrated by contrasting the original problem with a variation that appeared in vos Savant's column in November 2006. In this version, Monty Hall forgets which door hides the car. He opens one of the doors at random and is relieved when a goat is revealed. Asked whether the contestant should switch, vos Savant correctly replied, "If the host is clueless, it makes no difference whether you stay or switch. If he knows, switch" (vos Savant, 2006).
In this version of the puzzle, the player has an equal chance of winning whether switching or not. There are six possible sequences of events that can occur, each with probability 1/6:
-
-
Player picks Host reveals Third door contains Goat A Car Goat B Goat B Car Goat A Goat A Goat B Car Goat B Goat A Car Car Goat A Goat B Car Goat B Goat A
-
In the first two cases above, the host reveals the car. What might happen in these cases is unknown—perhaps the contestant immediately wins or immediately loses. However, in the problem as stated, the host has revealed a goat, so only four of the six cases remain possible, and they are equally likely. In two of these four cases, switching results in a win, and in the other two, switching results in a goat. Staying with the original pick gives the same odds: a loss in two cases and a win in two others.
The player's probability of winning by switching increases to 2/3 in the problem as stated by Mueser and Granberg because in the two cases above where the host would reveal the car, he is forced to reveal the remaining goat instead. In the table below, the host's picks from the table above are highlighted. Because he cannot reveal the car, his behaviour is altered in two cases:
-
-
Player picks Host reveals Third door contains Goat A Goat B Car Goat B Goat A Car Goat A Goat B Car Goat B Goat A Car Car Goat A Goat B Car Goat B Goat A
-
This change in the host's behaviour causes the car to be twice as likely to be behind the "third door", and is what causes switching to be twice as likely to win in the "host knows" variation of the problem.
Increasing the number of doors
It may be easier to appreciate the solution by considering the same problem with 1,000,000 doors instead of just three (vos Savant 1990). In this case there are 999,999 doors with goats behind them and one door with a prize. The player picks a door. The game host then opens 999,998 of the other doors revealing 999,998 goats — imagine the host starting with the first door and going down a line of 1,000,000 doors, opening each one, skipping over only the player's door and one other door. The host then offers the player the chance to switch to the only other unopened door. On average, in 999,999 out of 1,000,000 times the other door will contain the prize, as 999,999 out of 1,000,000 times the player first picked a door with a goat. A rational player should switch.
Venn diagram
The average probability of winning the car by switching can be illustrated using Venn diagrams. After choosing Door 1, for example, the player has a 1/3 chance of having selected the door with the car, leaving a 2/3 chance between the other two doors, as shown below. Note that there is a 100% chance of finding a goat behind at least one of the two unchosen doors, because there is only one car.
The host now opens Door 3. Under the conditions of the problem statement the host is required to open one of the other two doors, and equally likely to open either unchosen door; opening this door does not affect the probability of winning the car by staying with the original choice, which remains 1/3. There is still a 2/3 probability that the car is behind either Door 2 or Door 3. However, since the car is not behind Door 3, we know that being behind one of these doors means that the car is behind Door 2; thus, that 2/3 probability is now a probability that the car is behind Door 2, as shown below. Another way to state this is that if the car is behind either door 2 or 3, by opening Door 3 the host has revealed it must be behind Door 2. (Devlin 2003)
Combining doors
Instead of one door being opened and shown to be a losing door, an equivalent action is to combine the two unchosen doors into one since the player cannot, and will not, choose the opened door (Adams 1990; Devlin 2003; Williams 2004). The player therefore has the choice of either sticking with the original choice of door with a 1/3 chance of winning the car, or choosing the sum of the contents of the two other doors with a 2/3 chance. The game assumptions play a role here—switching is equivalent to taking the combined contents if and only if the game host is required to open a door with a goat and chooses between two losing doors randomly with equal probabilities.
In this case, what should be ignored is the opening of the door. The player actually chooses between the originally picked door and the other two—opening one is simply a distraction. The original choice divides the possible locations of the car between the one door the player picks with a 1/3 chance and the other two with a 2/3 chance. It is already known that at least one of the two unpicked doors contains a goat. Revealing the goat therefore gives the player no additional information about the originally chosen door; it does not change the 2/3 probability that the car is still in the block of two doors.
Simulation
A simple way to demonstrate that a switching strategy really does win two out of three times on the average is to simulate the game with playing cards (Gardner 2001, p. 243). Three cards from an ordinary deck are used to represent the three doors; one 'special' card such as the Ace of Spades should represent the door with the car, and ordinary cards, such as the two red twos, represent the goat doors.
The simulation, using the following procedure, can be repeated several times to simulate multiple rounds of the game. One card is dealt at random to the 'player', to represent the door the player picks initially. Then, looking at the remaining two cards at least one of which must be a red two, the 'host' discards a red two. If the card remaining in the host's hand is the Ace of Spades, this is recorded as a round where the player would have won by switching; if the host is holding a red two, the round is recorded as one where staying would have won.
By the law of large numbers, this experiment is likely to approximate the probability of winning, and running the experiment over enough rounds should not only verify that the player does win by switching two times out of three, but show why. Two times out of three, after one card has been dealt to the player, the Ace of Spades is in the host's hand. At that point, it is already determined whether staying or switching will win the round for the player.
If this is not convincing, the simulation can be done with the entire deck, dealing one card to the player and keeping the other 51 (Adams 1990). In this variant the Ace of Spades goes to the host 51 times out of 52, and stays with the host no matter how many non-Ace cards are discarded.
Variants
Other host behaviors
In some versions of the Monty Hall problem, the host's behaviour is not fully specified. For example, the version published in Parade in 1990 did not specifically state that the host would always open another door, or always offer a choice to switch, or even never open the door revealing the car. Without specifying these rules, the player does not have enough information to conclude that switching will be successful two-thirds of the time (Mueser and Granberg, 1999). The table shows possible host behaviors and the impact on the success of switching.
| Possible host behaviors in unspecified problem | |
|---|---|
| Host behaviour | Result |
| The host offers the option to switch only when the player's initial choice is the winning door (Tierney 2001). | Switching always yields a goat. |
| The host offers the option to switch only when the player has chosen incorrectly (vos Savant 1996, p. 185). | Switching always wins the car. |
| The host does not know what lies behind the doors, and opens one at random without revealing the car (vos Savant 1996, p. 181). | Switching wins the car half of the time. |
| The host opens a known door with probability p, unless the car is behind it (Morgan et al. 1991). | If the host opens his "usual" door, switching wins with probability 1/(1+p). If the host opens the other remaining door, switching wins with probability p/(1+p). |
| The host acts as noted in the specific version of the problem. | Switching wins the car two-thirds of the time. |
Sequential doors
There is a generalization of the original problem to n doors. In the first step, the player chooses a door. The game host then opens some other door that is a loser. If desired, the player may then switch to another door. The game host then opens another as-yet-unopened losing door, different from the player's current choice. Then the player may switch again, and so on. This continues until there are only two unopened doors left: the player's current choice and another one. How many times should the player switch, and when, if at all?
One possible strategy is to stick with the first choice all the way through but then switch at the very end. With four doors, this strategy can be proven optimal; it has been asserted that with n doors, this strategy is also optimal and gives a probability of winning equal to (n-1)/n (Bapeswara Rao and Rao 1992).
This problem appears similar to the television show Deal or No Deal, which typically begins with 26 boxes. The player selects one to keep, and then randomly picks boxes to open from amongst the rest. In this game, even until the end, the box the player initially selects and all boxes left unrevealed are equally likely to be the winner. The distinction is that any box the player picks to open might reveal the grand prize, thereby eliminating it from contention. Monty on the other hand, knows the contents and is forbidden from revealing the winner. Because the Deal or No Deal player is just as likely to open the winning box as a losing one, the Monty Hall advantage is lost. Assuming the grand prize is still left with two boxes remaining, the player has a 50/50 chance that the initially selected box contains the grand prize.
Quantum version
A quantum version of the paradox illustrates some points about the relation between classical or non-quantum information and quantum information, as encoded in the states of quantum mechanical systems. The formulation is loosely based on Quantum game theory. The three doors are replaced by a quantum system allowing three alternatives; opening a door and looking behind it is translated as making a particular measurement. The rules can be stated in this language, and once again the choice for the player is to stick with the initial choice, or change to another "orthogonal" option. The latter strategy turns out to double the chances, just as in the classical case. However, if the show host has not randomized the position of the prize in a fully quantum mechanical way, the player can do even better, and can sometimes even win the prize with certainty (D'Ariano et al. 2002).
History of the problem
An essentially identical problem appeared as the Three Prisoners Problem in Martin Gardner's Mathematical Games column in Scientific American in 1959 (Gardner 1959). Gardner's version makes the selection procedure explicit, avoiding the unstated assumptions in the Parade version. This puzzle in probability theory involves three prisoners, a random one of whom has been secretly chosen to be executed in the morning. The first prisoner begs the guard to tell him which of the other two will go free, arguing that this reveals no information about whether the prisoner will be the victim; the guard responds by claiming that if the prisoner knows that a specific one of the other two prisoners will go free it will raise the first prisoner's subjective chance of being executed from 1/3 to 1/2. The question is whether the analysis of the prisoner or the guard is correct. In the version given by Martin Gardner, the guard then performs a particular randomizing procedure for selecting which name to give the prisoner; this gives the equivalent of the Monty Hall problem without the usual ambiguities in its presentation.
In 1975, Steve Selvin wrote a pair of letters to the American Statistician (Selvin 1975a, Selvin 1975b) regarding the Monty Hall problem. The first presented the problem in a version close to its most popular form; the version presented in Parade 15 years later is a restatement of Selvin's version. The second letter appears to be the first use of the term "Monty Hall problem". The problem is actually an extrapolation from the game show. Monty Hall did open a wrong door to build excitement, but offered a known lesser prize—such as $100 cash—rather than a choice to switch doors. As Monty Hall wrote to Selvin:
And if you ever get on my show, the rules hold fast for you—no trading boxes after the selection. (Hall 1975)
Phillip Martin's article in a 1989 issue of Bridge Today magazine titled "The Monty Hall Trap" (Martin 1989) presented Selvin's problem, with the correct solution, as an example of how one can fall into the trap of treating non-random information as if it were random. Martin then gives examples in the game of bridge where players commonly miscalculate the odds by falling into the same trap, such as the Principle of Restricted Choice. Given the controversy that would arise over this problem a year later, Martin showed a lack of prescience when he stated, "Here [in the Monty Hall problem] the trap is easy to spot. But the trap can crop up more subtly in a bridge setting."
A restated version of Selvin's problem statement appeared in Marilyn vos Savant's Ask Marilyn question-and-answer column of Parade in September 1990 (vos Savant 1990). Though vos Savant gave the correct answer that switching would win two-thirds of the time, vos Savant estimates 10,000 readers including several hundred mathematics professors wrote in to declare that her solution was wrong. As a result of the publicity the problem earned the alternative name Marilyn and the Goats.
In November 1990, an equally contentious discussion of vos Savant's article took place in Cecil Adams's column The Straight Dope (Adams 1990). Adams initially answered, incorrectly, that the chances for the two remaining doors must each be one in two. After a reader wrote in to correct the mathematics of Adams' analysis, Adams agreed that mathematically, he had been wrong, but said that the Parade version left critical constraints unstated, and without those constraints, the chances of winning by switching were not necessarily 2/3. Numerous readers, however, wrote in to claim that Adams had been "right the first time" and that the correct chances were one in two.
The Parade column and its response received considerable attention in the press, including a front page story in the New York Times (Tierney 1991) in which Monty Hall himself was interviewed. He appeared to understand the problem quite well, giving the reporter a demo with car keys and explaining how actual game play on Let's Make a Deal differed from the rules of the puzzle.
Over 40 papers have been published about this problem in academic journals and the popular press (Mueser and Granberg 1999).
The problem continues to resurface outside of academia. The syndicated NPR program Car Talk featured it as one of their weekly "Puzzlers," and the answer they featured was quite clearly explained as the correct one (Magliozzi and Magliozzi, 1998). An account of mathematician Paul Erdos's first encounter of the problem can be found in The Man Who Loved Only Numbers—like many others, he initially got it wrong. The problem is discussed, from the perspective of a boy with Asperger syndrome, in The Curious Incident of the Dog in the Night-time, a 2003 novel by Mark Haddon. The problem is also addressed in a lecture by the character Charlie Eppes in an episode of the CBS drama NUMB3RS (Episode 1.13) and in Derren Brown's 2006 book Tricks Of The Mind. The Monty Hall problem (though it was called "the game show host problem" in the film) appears in the film 21, in which the main character, Ben, correctly answers the question in his MIT college math course. Economist M. Keith Chen identified a potential flaw in hundreds of experiments related to cognitive dissonance that use an analysis with issues similar to those involved in the Monty Hall problem (Tierney 2008).
Bayesian analysis
An analysis of the problem using the formalism of Bayesian probability theory (Gill 2002) makes explicit the role of the assumptions underlying the problem. In Bayesian terms, probabilities are associated to propositions, and express a degree of belief in their truth, subject to whatever background information happens to be known. For this problem the background is the set of game rules, and the propositions of interest are:
: The car is behind Door i, for i equal to 1, 2 or 3.
: The host opens Door j after the player has picked Door i, for i and j equal to 1, 2 or 3.
For example,
denotes the proposition the car is behind Door 1, and
denotes the proposition the host opens Door 2 after the player has picked Door 1. Indicating the background information with
, the assumptions are formally stated as follows.
First, the car can be behind any door, and all doors are a priori equally likely to hide the car. In this context a priori means before the game is played, or before seeing the goat. Hence, the prior probability of a proposition
is:
Second, the host will always open a door that has no car behind it, chosen from among the two not picked by the player. If two such doors are available, each one is equally likely to be opened. This rule determines the conditional probability of a proposition
subject to where the car is — i.e., conditioned on a proposition
Specifically, it is:
-


if i = j, (the host cannot open the door picked by the player) 
if j = k, (the host cannot open a door with a car behind it) 
if i = k, (the two doors with no car are equally likely to be opened) 
if i
k and j
k, (there is only one door available to open)
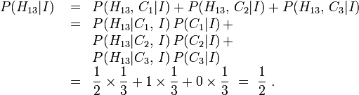
The problem can now be solved by scoring each strategy with its associated posterior probability of winning, that is with its probability subject to the host's opening of one of the doors. Without loss of generality, assume, by re-numbering the doors if necessary, that the player picks Door 1, and that the host then opens Door 3, revealing a goat. In other words, the host makes proposition
true.
The posterior probability of winning by not switching doors, subject to the game rules and
, is then
. Using Bayes' theorem this is expressed as:
By the assumptions stated above, the numerator of the right-hand side is:
The normalizing constant at the denominator can be evaluated by expanding it using the definitions of marginal probability and conditional probability:
Dividing the numerator by the normalizing constant yields:
Note that this is equal to the prior probability of the car's being behind the initially chosen door, meaning that the host's action has not contributed any novel information with regard to this eventuality. In fact, the following argument shows that the effect of the host's action consists entirely of redistributing the probabilities for the car's being behind either of the other two doors.
The probability of winning by switching the selection to Door 2,
, can be evaluated by requiring that the posterior probabilities of all the
propositions add to 1. That is:
There is no car behind Door 3, since the host opened it, so the last term must be zero. This can be proven using Bayes' theorem and the previous results:
Hence:
This shows that the winning strategy is to switch the selection to Door 2. It also makes clear that the host's showing of the goat behind Door 3 has the effect of transferring the 1/3 of winning probability a-priori associated with that door to the remaining unselected and unopened one, thus making it the most likely winning choice.

















