Spherical aberration
2008/9 Schools Wikipedia Selection. Related subjects: Physics
| Optical aberration |
|---|
| Piston Tilt |

In optics, spherical aberration is a deviation from the norm resulting in an image imperfection that occurs due to the increased refraction of light rays when rays strike a lens or a reflection of light rays that occurs when rays strike a mirror near its edge, in comparison with those that strike nearer the centre. A sphere lens has an aplanatic point—that means no spherical aberration—only at a radius that equals the radius of the sphere divided by the index of refraction, that is inside the lens. It is often considered to be an imperfection of telescopes and other instruments which makes their focusing less than ideal due to the spherical shape of lenses and mirrors. This is an important effect, as spherical shapes are much easier to produce than aspherical and so most lenses have spherical shapes.
"Positive" spherical aberration means peripheral rays are bent too much. "Negative" spherical aberration means peripheral rays are not bent enough.
The effect is proportional to the fourth power of the diameter and inversely proportional to the third power of the focal length, so it is much more pronounced at short focal ratios, i.e., "fast" lenses.
For small telescopes using spherical mirrors with focal ratios shorter than f/10, light from a distant point source (such as a star) is not all focused at the same point. Particularly, light striking the inner part of the mirror focuses farther from the mirror than light striking the outer part. As a result the image cannot be focused as sharply as if the aberration were not present. Because of spherical aberration, telescopes shorter than f/10 are usually made with non-spherical mirrors or with correcting lenses.
In lens systems, the effect can be minimized using special combinations of convex and concave lenses, as well as using aspheric lenses.
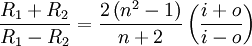
For simple designs one can sometimes calculate parameters that minimize spherical aberration. For example, in a design consisting of a single lens with spherical surfaces and a given object distance o, image distance i, and refractive index n, one can minimize spherical aberration by adjusting the radii of curvature R1 and R2 of the front and back surfaces of the lens such that
.


