Torus
2008/9 Schools Wikipedia Selection. Related subjects: Mathematics
In geometry, a torus (pl. tori) is a surface of revolution generated by revolving a circle in three dimensional space about an axis coplanar with the circle, which does not touch the circle. Examples of tori include the surfaces of doughnuts and inner tubes. A circle rotated about a chord of the circle is called a torus in some contexts, but this is not a common usage in mathematics. The shape produced when a circle is rotated about a chord resembles a round cushion. Torus was the Latin word for a cushion of this shape.
Geometry
A torus can be defined parametrically by:
where
- u, v are in the interval [0, 2π),
- R is the distance from the center of the tube to the centre of the torus,
- r is the radius of the tube.
- R is the distance from the center of the tube to the centre of the torus,
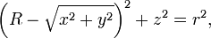
An equation in Cartesian coordinates for a torus radially symmetric about the z- axis is
and clearing the square root produces a quartic:
The surface area and interior volume of this torus are given by
These formulas are the same as for a cylinder of length 2πR and radius r, created by cutting the tube and unrolling it by straightening out the line running around the centre of the tube. The losses in surface area and volume on the inner side of the tube happen to exactly cancel out the gains on the outer side.
According to a broader definition, the generator of a torus need not be a circle but could also be an ellipse or any other conic section.
Topology
Topologically, a torus is a closed surface defined as the product of two circles: S1 × S1. This can be viewed as lying in C2 and is a subset of the 3-sphere S3 of radius
. This topological torus is also often called the Clifford torus. In fact, S3 is filled out by a family of nested tori in this manner (with two degenerate cases, a circle and a straight line), a fact which is important in the study of S3 as a fibre bundle over S2 (the Hopf bundle).
The surface described above, given the relative topology from R3, is homeomorphic to a topological torus as long as it does not intersect its own axis. A particular homeomorphism is given by stereographically projecting the topological torus into R3 from the north pole of S3.
The torus can also be described as a quotient of the Cartesian plane under the identifications
- (x,y) ~ (x+1,y) ~ (x,y+1).
Or, equivalently, as the quotient of the unit square by pasting the opposite edges together, described as a fundamental polygon ABA − 1B − 1.
The fundamental group of the torus is just the direct product of the fundamental group of the circle with itself:
Intuitively speaking, this means that a closed path that circles the torus' "hole" (say, a circle that traces out a particular latitude) and then circles the torus' "body" (say, a circle that traces out a particular longitude) can be deformed to a path that circles the body and then the hole. So, strictly 'latitudinal' and strictly 'longitudinal' paths commute. This might be imagined as two shoelaces passing through each other, then unwinding, then rewinding.
If a torus is punctured and turned inside out then another torus results, with lines of latitude and longitude interchanged.
The first homology group of the torus is isomorphic to the fundamental group (this follows from Hurewicz theorem since the fundamental group is abelian).
The n-dimensional torus
The torus has a generalization to higher dimensions, the n-dimensional torus, often called the n-torus for short. (This is one of two different meanings of the term "n-torus".) Recalling that the torus is the product space of two circles, the n-dimensional torus is the product of n circles. That is:
The torus discussed above is the 2-dimensional torus. The 1-dimensional torus is just the circle. The 3-dimensional torus is rather difficult to visualize. Just as for the 2-torus, the n-torus can be described as a quotient of Rn under integral shifts in any coordinate. That is, the n-torus is Rn modulo the action of the integer lattice Zn (with the action being taken as vector addition). Equivalently, the n-torus is obtained from the n-dimensional hypercube by gluing the opposite faces together.
An n-torus in this sense is an example of an n-dimensional compact manifold. It is also an example of a compact abelian Lie group. This follows from the fact that the unit circle is a compact abelian Lie group (when identified with the unit complex numbers with multiplication). Group multiplication on the torus is then defined by coordinate-wise multiplication.
Toroidal groups play an important part in the theory of compact Lie groups. This is due in part to the fact that in any compact Lie group G one can always find a maximal torus; that is, a closed subgroup which is a torus of the largest possible dimension. Such maximal tori T have a controlling role to play in theory of connected G.
Automorphisms of T are easily constructed from automorphisms of the lattice Zn, which are classified by integral matrices M of size n×n which are invertible with integral inverse; these are just the integral M of determinant +1 or −1. Making M act on Rn in the usual way, one has the typical toral automorphism on the quotient.
The fundamental group of an n-torus is a free abelian group of rank n. The k-th homology group of an n-torus is a free abelian group of rank n choose k. It follows that the Euler characteristic of the n-torus is 0 for all n. The cohomology ring H•(Tn,Z) can be identified with the exterior algebra over the Z- module Zn whose generators are the duals of the n nontrivial cycles.
The n-fold torus
In the theory of surfaces the term n-torus has a different meaning. Instead of the product of n circles, they use the phrase to mean the connected sum of n 2-dimensional tori. To form a connected sum of two surfaces, remove from each the interior of a disk and "glue" the surfaces together along the disks' boundary circles. To form the connected sum of more than two surfaces, sum two of them at a time until they are all connected together. In this sense, an n-torus resembles the surface of n doughnuts stuck together side by side, or a 2-dimensional sphere with n handles attached.
An ordinary torus is a 1-torus, a 2-torus is called a double torus, a 3-torus a triple torus, and so on. The n-torus is said to be an " orientable surface" of " genus" n, the genus being the number of handles. The 0-torus is the 2-dimensional sphere.
The classification theorem for surfaces states that every compact connected surface is either a sphere, an n-torus with n > 0, or the connected sum of n projective planes (that is, projective planes over the real numbers) with n > 0.
Coloring a torus
If a torus is divided into regions, then it is always possible to colour the regions with no more than seven colors so that neighboring regions have different colors. (Contrast with the four colour theorem for the plane.)












