Zinc chloride

2008/9 Schools Wikipedia Selection. Related subjects: Chemical compounds

Zinc chloride
Zinc chloride hydrate
IUPAC name Zinc chloride
Other names Zinc(II) chloride,
zinc dichloride,
butter of zinc,
Zinc butter
Identifiers
CAS number [7646-85-7]
RTECS number ZH1400000
Properties
Molecular formula ZnCl2
Molar mass 136.315 g/mol
Appearance White crystalline solid.
Density 2.907 g/cm³, solid
Melting point

275 °C (548 K)

Boiling point

756 °C (1029 K)

Solubility in water 432 g/100 mL (25 °C)
Structure
Crystal structure Four forms known
Hexagonal close-packed (δ)
is the only stable form
when anhydrous.
Coordination
geometry
Tetrahedral, 4-coordinate,
linear in the gas phase.
Hazards
MSDS External MSDS
EU classification Irritant (I),
Corrosive(C).
R-phrases R34, R50, R53
S-phrases S7/8, S28, S45, S60,
S61
Related compounds
Other anions Zinc fluoride,
zinc bromide,
zinc iodide
Other cations Copper(II) chloride,
cadmium chloride
Except where noted otherwise, data are given for
materials in their standard state
(at 25 °C, 100 kPa)
Infobox disclaimer and references

Zinc chloride is the name of chemical compound with the formula ZnCl2 and its hydrates. Zinc chlorides, of which nine crystalline forms are known, are colorless or white and highly soluble in water. ZnCl2 itself is hygroscopic and even deliquescent. Samples should therefore be protected from sources of moisture, including the water vapor present in ambient air. Zinc chloride finds wide application in textile processing, metallurgical fluxes, and chemical synthesis.

Structure and basic properties

Four crystalline forms, so-called polymorphs, of ZnCl2 are known, and in each case the Zn2+ ions are tetrahedrally coordinated to four chloride ligands. Rapid cooling of molten ZnCl2 gives a glass, that is, a rigid amorphous solid. Additionally ZnCl2 forms hydrates and at least one mixed hydroxide, ZnClOH.

The covalent character is of the anhydrous material is indicated by its relatively low melting point of 275 °C. Further evidence for covalency is provided by the high solubility of the dichloride in etherial solvents such as wherein it forms adducts with the formula ZnCl2L2 where L = ligand such as O(C2H5)2. Consistent with the Lewis acidity of Zn2+, aqueous solutions of ZnCl2 are acidic solutions: a 6 M aqueous solution has a pH of 1.

Four hydrates of zinc chloride are known. ZnCl2(H2O)4 crystallizes from aqueous solutions of zinc chloride. Also characterized are ZnCl2(H2O)n where n = 1, 1.5, 2.5, and 3. When hydrated zinc chloride is heated, one obtains a residue of ZnOHCl.

In aqueous solution, zinc chloride fully dissociates into Zn2+. Thus, although many zinc salts have different formulas and different crystal structures, these salts behave very similarly in aqueous solution. For example, solutions prepared from any of the polymorphs of ZnCl2 as well as other halides (bromide, iodide) and the sulfate can often be used interchangeably for the preparation of other zinc compounds. Illustrative is the preparation of zinc carbonate:

ZnCl2( aq) + Na2CO3(aq) → ZnCO3(s) + 2 NaCl(aq)

Preparation and purification

Anhydrous ZnCl2 can be prepared from zinc and hydrogen chloride.

Zn + 2 HCl → ZnCl2 + H2

Hydrated forms and aqueous solutions may be readily prepared by treating pieces of Zn metal with concentrated hydrochloric acid. Zinc oxide and zinc sulfide react with HCl:

ZnS( s) + 2 HCl(aq) → ZnCl2(aq) + H2S(g)

Unlike many other elements, zinc essentially exists in only one oxidation state, 2+, which simplifies purification.

Commercial samples of zinc chloride typically contain water and products from hydrolysis product. Such samples may be purified by extraction into hot dioxane, which is filtered hot and the filtrate is cooled to afford a precipitate of ZnCl2. Anhydrous samples can be purified by sublimation in a stream of hydrogen chloride gas, followed by heating to 400 °C in a stream of dry nitrogen gas. Finally, the simplest method relies on treating the zinc chloride with thionyl chloride.

Applications

As a metallurgical flux

Zinc chloride has the ability to attack metal oxides (MO) to give derivatives of the formula MZnOCl2. This reaction is relevant to the utility of ZnCl2 as a flux for soldering - it dissolves oxide coatings exposing the clean metal surface. Typically this flux was prepared by dissolving zinc foil in dilute hydrochloric acid until the liquid ceased to evolve hydrogen; for this reason, such flux was once known as killed spirits. Because of its corrosive nature, this flux is not suitable for situations where any residue cannot be cleaned away, such as electronic work. This property also leads to its use in the manufacture of magnesia cements for dental fillings and certain mouthwashes as an active ingredient.

In organic synthesis

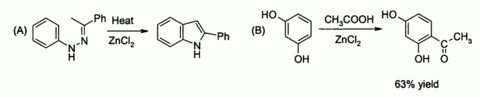
In the laboratory, zinc chloride finds wide use, principally as a moderate-strength Lewis acid. It can catalyse (A) the Fischer indole synthesis, and also (B) Friedel-Crafts acylation reactions involving activated aromatic rings

Related to the latter is the classical preparation of the dye fluorescein from phthalic anhydride and resorcinol, which involves a Friedel-Crafts acylation. This transformation has in fact been accomplished using even the hydrated ZnCl2 sample shown in the picture above.

Hydrochloric acid alone reacts poorly with primary alcohols and secondary alcohols, but a combination of HCl with ZnCl2 (known together as the " Lucas reagent") is effective for the preparation of alkyl chlorides. Typical reactions are conducted at 130 °C. This reaction probably proceeds via an SN2 mechanism with primary alcohols but SN1 pathway with secondary alcohols.

Zinc chloride also activates benzylic and allylic halides towards substitution by weak nucleophiles such as alkenes:

In similar fashion, ZnCl2 promotes selective NaBH3CN reduction of tertiary, allylic or benzylic halides to the corresponding hydrocarbons.

Zinc chloride is also a useful starting reagent for the synthesis of many organozinc reagents, such as those used in the palladium catalysed Negishi coupling with aryl halides or vinyl halides. In such cases the organozinc compound is usually prepared by transmetallation from an organolithium or a Grignard reagent, for example:

Zinc enolates, prepared from alkali metal enolates and ZnCl2, provide control of stereochemistry in aldol condensation reactions due to chelation on to the zinc. In the example shown below, the threo product was favored over the erythro by a factor of 5:1 when ZnCl2 in DME/ ether was used. The chelate is more stable when the bulky phenyl group is pseudo- equatorial rather than pseudo- axial, i.e., threo rather than erythro.

In textile processing

Concentrated aqueous solutions of zinc chloride (more than 64% weight/weight zinc chloride in water) have the interesting property of dissolving starch, silk, and cellulose. Thus, such solutions cannot be filtered through standard filter papers. Relevant to its affinity for these materials, ZnCl2 is used as a fireproofing agent and in fabric "refresheners" such as Febreze

Safety considerations

Zinc salts are relatively non-toxic. Precautions that apply to anhydrous ZnCl2 are those applicable to other anhydrous metal halides, i.e. hydrolysis can be exothermic and contact should be avoided. Concentrated solutions are acidic and corrosive and specifically attack cellulose and silk as Lewis acids. See MSDS in table.

Retrieved from " http://en.wikipedia.org/wiki/Zinc_chloride"
This Wikipedia DVD Selection was sponsored by a UK Children's Charity, SOS Children UK , and is mainly selected from the English Wikipedia with only minor checks and changes (see www.wikipedia.org for details of authors and sources). The articles are available under the GNU Free Documentation License. See also our Disclaimer.