Elementary algebra
2008/9 Schools Wikipedia Selection. Related subjects: Mathematics
Elementary algebra is a fundamental and relatively basic form of algebra taught to students who are presumed to have little or no formal knowledge of mathematics beyond arithmetic. While in arithmetic only numbers and their arithmetical operations (such as +, −, ×, ÷) occur, in algebra one also uses symbols (such as x and y, or a and b) to denote numbers. These are called variables. This is useful because:
- It allows the generalization of arithmetical equations (and inequalities) to be stated as laws (such as a + b = b + a for all a and b), and thus is the first step to the systematic study of the properties of the real number system.
- It allows reference to numbers which are not known. In the context of a problem, a variable may represent a certain value of which is uncertain, but may be solved through the formulation and manipulation of equations.
- It allows the exploration of mathematical relationships between quantities (such as "if you sell x tickets, then your profit will be 3x − 10 dollars").
These three are the main strands of elementary algebra, which should be distinguished from abstract algebra, a more advanced topic generally taught to college students.
In elementary algebra, an " expression" may contain numbers, variables and arithmetical operations. These are usually written (by convention) with 'higher-power' terms on the left (see polynomial); a few examples are:
In more advanced algebra, an expression may also include elementary functions.
An "equation" is the claim that two expressions are equal. Some equations are true for all values of the involved variables (such as a + b = b + a); such equations are called " identities". "Conditional" equations are true for only some values of the involved variables: x2 − 1 = 4. The values of the variables which make the equation true are called the "solutions" of the equation.
Laws of elementary algebra
- Commutative property of addition
-
- Subtraction is the reverse of addition.
- To subtract is the same as to add a negative number:
-
- Example: if 5 + x = 3 then x = − 2.
- Commutative property of multiplication
-
- Division is the reverse of multiplication.
- To divide is the same as to multiply by a reciprocal:
- Exponentiation is not a commutative operation.
- Therefore exponentiation has a pair of reverse operations: logarithm and exponentiation with fractional exponents (e.g. square roots).
- Examples: if 3x = 10 then x = log310. If x2 = 10 then x = 101 / 2.
- The square roots of negative numbers do not exist in the real number system. (See: complex number system)
- Therefore exponentiation has a pair of reverse operations: logarithm and exponentiation with fractional exponents (e.g. square roots).
- Associative property of addition: (a + b) + c = a + (b + c).
- Associative property of multiplication: (ab)c = a(bc).
- Distributive property of multiplication with respect to addition: c(a + b) = ca + cb.
- Distributive property of exponentiation with respect to multiplication: (ab)c = acbc.
- How to combine exponents: abac = ab + c.
- Power to a power property of exponents: (ab)c = abc.
Laws of equality
- If a = b and b = c, then a = c ( transitivity of equality).
- a = a ( reflexivity of equality).
- If a = b then b = a ( symmetry of equality).
Other laws
- If a = b and c = d then a + c = b + d.
- If a = b then a + c = b + c for any c (addition property of equality).
- If a = b and c = d then ac = bd.
- If a = b then ac = bc for any c (multiplication property of equality).
- If two symbols are equal, then one can be substituted for the other at will (substitution principle).
- If a > b and b > c then a > c (transitivity of inequality).
- If a > b then a + c > b + c for any c.
- If a > b and c > 0 then ac > bc.
- If a > b and c < 0 then ac < bc.
Examples
Linear equations in one variable
The simplest equations to solve are linear equations that have only one variable. They contain only constant numbers and a single variable without an exponent. For example:
The central technique is add, subtract, multiply, or divide both sides of the equation by the same number in order to isolate the variable on one side of the equation. Once the variable is isolated, the other side of the equation is the value of the variable. For example, by subtracting 4 from both sides in the equation above:
which simplifies to:
Dividing both sides by 2:
simplifies to the solution:
The general case,
follows the same format for the solution:
Quadratic equations
Quadratic equations can be expressed in the form ax2 + bx + c = 0, where a is not zero (if it were zero, then the equation would not be quadratic but linear). Because of this a quadratic equation must contain the term ax2, which is known as the quadratic term. Hence a ≠ 0, and so we may divide by a and rearrange the equation into the standard form
where p = b/a and q = −c/a. Solving this, by a process known as completing the square, leads to the quadratic formula.
Quadratic equations can also be solved using factorization (the reverse process of which is expansion, but for two linear terms is sometimes denoted foiling). As an example of factoring:
Which is the same thing as
It follows from the zero-product property that either x = 2 or x = −5 are the solutions, since precisely one of the factors must be equal to zero. All quadratic equations will have two solutions in the complex number system, but need not have any in the real number system. For example,
has no real number solution since no real number squared equals −1. Sometimes a quadratic equation has a root of multiplicity 2, such as:
For this equation, −1 is a root of multiplicity 2.
System of linear equations
In the case of a system of linear equations, like, for instance, two equations in two variables, it is often possible to find the solutions of both variables that satisfy both equations.
First method of finding a solution
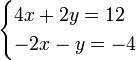
An example of a system of linear equations could be the following:
Multiplying the terms in the second equation by 2:
Adding the two equations together to get:
which simplifies to
Since the fact that x = 2 is known, it is then possible to deduce that y = 3 by either of the original two equations (by using 2 instead of x) The full solution to this problem is then
Note that this is not the only way to solve this specific system; y could have been solved before x.
Second method of finding a solution
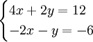
Another way of solving the same system of linear equations is by substitution.
An equivalent for y can be deduced by using one of the two equations. Using the second equation:
Subtracting 2x from each side of the equation:
and multiplying by -1:
Using this y value in the first equation in the original system:
Adding 2 on each side of the equation:
which simplifies to
Using this value in one of the equations, the same solution as in the previous method is obtained.
Note that this is not the only way to solve this specific system; in this case as well, y could have been solved before x.
Other types of Systems of Linear Equations
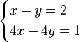
Unsolvable Systems
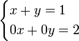
In the above example, it is possible to find a solution. However, there are also systems of equations which do not have a solution. An obvious example would be:
The second equation in the system has no possible solution. Therefore, this system can't be solved. However, not all incompatible systems are recognized at first sight. As an example, the following system is studied:
When trying to solve this (for example, by using the method of substitution above), the second equation, after adding − 2x on both sides and multiplying by −1, results in:
And using this value for y in the first equation:
No variables are left, and the equality is not true. This means that the first equation can't provide a solution for the value for y obtained in the second equation.
Undetermined Systems
There are also systems which have multiple or infinite solutions, in opposition to a system with a unique solution (meaning, two unique values for x and y) For example:
Isolating y in the second equation:
And using this value in the first equation in the system:
The equality is true, but it does not provide a value for x. Indeed, one can easily verify (by just filling in some values of x) that for any x there is a solution as long as y = −2x + 6. There are infinite solutions for this system.
Over and underdetermined Systems
Systems with more variables than the number of linear equations do not have a unique solution. An example of such a system is
Such a system is called underdetermined; when trying to find a solution, one or more variables can only be expressed in relation to the other variables, but cannot be determined numerically. Incidentally, a system with a greater number of equations than variables, in which necessarily some equations are sums or multiples of others, is called overdetermined.
Relation between Solvability and Multiplicity
Given any system of linear equations, there is a relation between multiplicity and solvability.
If one equation is a multiple of the other (or, more generally, a sum of multiples of the other equations), then the system of linear equations is undetermined, meaning that the system has infinitely many solutions. Example:
When the multiplicity is only partial (meaning that for example, only the left hand sides of the equations are multiples, while the right hand sides are not or not by the same number) then the system is unsolvable. For example, in
the second equation yields that x + y = 1/4 which is in contradiction with the first equation. Such a system is also called inconsistent in the language of linear algebra. When trying to solve a system of linear equations it is generally a good idea to check if one equation is a multiple of the other. If this is precisely so, the solution cannot be uniquely determined. If this is only partially so, the solution does not exist.
This, however, does not mean that the equations must be multiples of each other to have a solution, as shown in the sections above; in other words: multiplicity in a system of linear equations is not a necessary condition for solvability.















































