Force
2008/9 Schools Wikipedia Selection. Related subjects: Physics
In physics, force is what causes a mass to accelerate and is experienced as a push or a pull. The vector sum of all forces acting on a body (known as the net force or resultant force) is proportional to the acceleration and the mass of the body. In an extended body, force may also cause rotation, deformation, or a change in pressure. Rotational effects are determined by the torques, while deformation and pressure are determined by the stresses that the forces create.
Net force is mathematically identical to the time rate of change of the momentum of the body on which it acts. Since momentum is a vector quantity (i.e., it has both a magnitude and direction), force also is a vector quantity.
The concept of force has been used in statics and dynamics since ancient times. What is known about the ancient contributions to statics is generally said to have culminated with the work of Archimedes in the 3rd century BC which still forms part of modern physics. In contrast, Aristotle's dynamics incorporated intuitive misunderstandings of the role of force which were eventually corrected in the 17th century culminating in the work of Isaac Newton. Following the development of quantum mechanics and the standard model of particle physics, it is now understood that the forces associated with changes in momentum of particles are the consequence of fundamental interactions accompanying the emission or absorption of gauge bosons. On large scales, perceived forces are more accurately attributable to the curvature of spacetime as explicated in Einstein's Theory of General Relativity. In modern physics, only four fundamental interactions are known; in order of decreasing strength, they are: [strong force|strong]], electromagnetic, weak, and gravitational. High-energy particle physics observations in 1970s and 1980s confirmed that the weak and electromagnetic forces are expressions of a unified electroweak interaction.
Pre-Newtonian concepts

From antiquity, the concept of force was recognized as integral to the functioning of each of the simple machines. The mechanical advantage given by a simple machine allowed for less force to be used in exchange for that force acting over a larger distance. Analysis of the characteristics of forces as such ultimately culminated in the work of Archimedes who was especially famous for formulating a treatment of buoyant forces inherent in fluids.
Philosophical development of the concept of a force proceeded through the work of Aristotle. In Aristotleian cosmology, the natural world held four elements that existed in "natural states". Aristotle believed that it was the natural state of massive objects on Earth, such as the elements water and earth, to be motionless on the ground and that they tended towards that state if left alone. He distinguished between the innate tendency of objects to find their "natural place" (e.g., for heavy bodies to fall), which lead to "natural motion", and unnatural or forced motion, which required continued application of a force. This theory, based on the everyday experience of how objects move, such as the constant application of a force needed to keep a cart moving, had conceptual trouble accounting for the behaviour of projectiles, such as the flight of arrows.
These shortcomings would not be fully explained and corrected until the seventeenth century work of Galileo Galilei, who was influenced by the late medieval idea that objects in forced motion carried an innate force of impetus. Galileo constructed an experiment in which stones and cannonballs were both rolled down an incline to disprove the Aristotelian theory of motion early in the 17th century. He showed that the bodies were accelerated by gravity to an extent which was independent of their mass and argued that objects retain their velocity unless acted on by a force, for example friction.
Newtonian mechanics
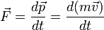
Isaac Newton is recognized as the first person to argue explicitly that a constant force causes a constant rate of change ( time derivative) of momentum. In essence, he gave the first, and the only, mathematical definition of force — as the time-derivative of momentum: F = dp / dt. In 1687, Newton went on to publish his Philosophiae Naturalis Principia Mathematica, which used concepts of inertia, force, and conservation to describe the motion of all objects.

In Principia Mathematica, Newton set out three laws of motion which have direct relevance to the way forces are described in physics.
Newton's first law
Newton's first law of motion sets forth the conditions required for equilibrium and defines the inertia related to the mass of an object. In place of the Aristotelian idea of "natural states", Newton proposed that it was the lack of net force that was the fundamental "natural state". This directly implies that the condition of constant velocity, whether it be zero or nonzero, is the "natural state" of all massive objects. Objects continue to move in a state of constant velocity unless acted upon by an unbalanced external force. As an extension of the work of Galileo, the concept of inertia is inexorably connected to the concept of relative velocities. Specifically, in two-body systems, it is impossible to determine which object is "in motion" and which object is "at rest"; it is equivalent to switch between what is called in physics "inertial frames of reference".
The concept of inertia can be further generalized to explain the tendency of objects to continue in many different forms of constant motion, even those that are not strictly constant velocity. The rotational inertia of planet Earth is what fixes the constancy of the length of a day and the length of a year. Albert Einstein extended the principle of inertia further when he explained that reference frames subject to constant acceleration, such as those free-falling toward a gravitating object, were physically equivalent to inertial reference frames. This is why, for example, astronauts experience weightlessness when in free-fall orbit around the Earth, and why Newton's Laws of Motion are more easily discernible in such environments. If an astronaut places a massive object in mid-air next to herself, it will remain stationary with respect to the astronaut due to its inertia. This is the same thing that would occur if the astronaut and the massive object were in intergalactic space with no net force of gravity acting on their shared reference frame. This principle of equivalence was one of the foundational underpinnings for the development of his general theory of relativity.
Newton's second law
Force is often defined using Newton's second law, as the product of mass m multiplied by acceleration
:
sometimes called the "second most famous formula in physics". Newton never stated explicitly the F=ma formula for which he is often credited. Newton's second law is described in his Principia Mathematica as a vector differential equation:
where
is the momentum of the system. Force is the rate of change of momentum over time. Acceleration is the rate of change of velocity over time. This result, which follows as a direct consequence of the caveat in Newton's First Law, shows that the intuitive Aristotelian belief that a net force is required to keep an object moving with constant velocity (therefore zero acceleration) is objectively wrong and not just a consequence of a poor choice of definition.
The use of Newton's second law in either of these forms as a definition of force has been disparaged in some of the more rigorous textbooks, because this removes all empirical content from the law. In fact, the
in this equation represents the net (vector sum) force; in equilibrium this is zero by definition, but (balanced) forces are present nevertheless. Instead, Newton's second law only asserts the proportionality of acceleration and mass to force, each of which can be defined without explicit reference to forces. Accelerations can be defined through kinematic measurements while mass can be determined through, for example, counting atoms. However, while kinematics are well-described through reference frame analysis in advanced physics, there are still deep questions that remain as to what is the proper definition of mass. General relativity offers an equivalence between space-time and mass, but lacking a coherent theory of quantum gravity, it is unclear as to how or whether this connection is relevant on microscales. With rather more justification, Newton's second law can be taken as a quantitative definition of mass by writing the law as an equality, the relative units of force and mass are fixed.
The definition of force is sometimes regarded as problematic, since it must either ultimately be referred to our intuitive understanding of our direct perceptions, or be defined implicitly through a set of self-consistent mathematical formulae. Notable physicists, philosophers and mathematicians who have sought a more explicit definition include Ernst Mach, Clifford Truesdell and Walter Noll.
Given the empirical success of Newton's law, it is sometimes used to measure the strength of forces (for instance, using astronomical orbits to determine gravitational forces). Nevertheless, the force and the quantities used to measure it remain distinct concepts.
'When a resultant force acts on an object of constant mass, an acceleration will result with the product of its mass and acceleration equal to the resultant force, the direction of the acceleration being in the same direction as that of the resultant force. F=ma'
Newton's third law
Newton's third law is a result of applying symmetry to situations where forces can be attributed to the presence of different objects. For any two objects (call them 1 and 2), Newton's third law states that
This law implies that forces always occur in action-reaction pairs. Any force that is applied to object 1 due to the action of object 2 is automatically accompanied by a force applied to object 2 due to the action of object 1. If object 1 and object 2 are considered to be in the same system, then the net force on the system due to the interactions between objects 1 and 2 is zero since
.
This means that systems cannot create internal forces that are unbalanced. However, if objects 1 and 2 are considered to be in separate systems, then the two systems will each experience an unbalanced force and accelerate with respect to each other according to Newton's second law.
Combining Newton's second and third laws, it is possible to show that the linear momentum of a system is conserved. Using
and integrating with respect to time, the equation:
is obtained. For a system which includes objects 1 and 2,
which is the conservation of linear momentum. Generalizing this to a system of an arbitrary number of particles is straightforward. This shows that exchanging momentum between constituent objects will not affect the net momentum of a system. In general, as long as all forces are due to the interaction of massive objects, it is possible to define a system such that net momentum is never lost nor gained.
'If body A exerts a force F on body B, then body B exerts a force of -F(of equal size but in the opposite direction) on body A.'
Descriptions
Forces can be directly perceived as pushes or pulls; this can provide an intuitive framework for describing forces. As with other physical concepts (e.g. temperature), the intuitive notion is quantified using operational definitions that are consistent with direct perception, but are more precise (see the section on Newtonian mechanics for how this is done). Historically, forces were first quantitatively investigated in conditions of static equilibrium where several forces canceled each other out. Such experiments prove the crucial properties that forces are additive vector quantities: they have magnitude and direction. When two forces act on an object, the resulting force, the resultant, is the vector sum of the original forces. This is called the superposition principle. The magnitude of the resultant varies from the difference of the magnitudes of the two forces to their sum, depending on the angle between their lines of action. The resultant force can be determined by following the parallelogram rule of vector addition: the addition of two vectors represented by sides of a parallelogram, gives an equivalent resultant vector which is equal in magnitude and direction to the transversal of the parallelogram.
Free-body diagrams can be used as a convenient way to keep track of forces acting on a system. Ideally, these diagrams are drawn with the angles and relative magnitudes of the force vectors preserved so that graphical vector addition can be done to determine the resultant.
As well as being added, forces can also be resolved into independent components at right angles to each other. A horizontal force pointing northeast can therefore be split into two forces, one pointing north, and one pointing east. Summing these component forces using vector addition yields the original force. Resolving force vectors into components of a set of basis vectors is often a more mathematically clean way to describe forces than using magnitudes and directions. This is because, for orthogonal components, the components of the vector sum are uniquely determined by the scalar addition of the components of the individual vectors. Orthogonal components are independent of each other; forces acting at ninety degrees to each other have no effect on each other. Choosing a set of orthogonal basis vectors is often done by considering what set of basis vectors will make the mathematics most convenient. Choosing a basis vector that is in the same direction as one of the forces is desirable, since that force would then have only one non-zero component. Force vectors can also be three-dimensional, with the third component at right-angles to the two other components.
Equilibria
Equilibrium occurs when the resultant force acting on an object is zero (that is, the vector sum of all forces is zero). There are two kinds of equilibrium: static equilibrium and dynamic equilibrium.
Static equilibrium
Static equilibrium was understood well before the invention of classical mechanics. Objects which are at rest have zero net force acting on them.
The simplest case of static equilibrium occurs when two forces are equal in magnitude but opposite in direction. For example, any object on a level surface is pulled (attracted) downward toward the centre of the Earth by the force of gravity. At the same time, surface forces resist the downward force with equal upward force (called the normal force) and result in the object having a non-zero weight. The situation is one of zero net force and no acceleration.
Pushing against an object on a frictional surface can result in a situation where the object does not move because the applied force is opposed by static friction, generated between the object and the table surface. For a situation with no movement, the static friction force exactly balances the applied force resulting in no acceleration. The static friction increases or decreases in response to the applied force up to an upper limit determined by the characteristics of the contact between the surface and the object.
A static equilibrium between two forces is the most usual way of measuring forces, using simple devices such as weighing scales and spring balances. For example, an object suspended on a vertical spring scale experiences the force of gravity acting on the object balanced by a force applied by the "spring reaction force" which is equal to the object's weight. Using such tools, some quantitative force laws were discovered: that the force of gravity is proportional to volume for objects of constant density (widely exploited for millennia to define standard weights); Archimedes' principle for buoyancy; Archimedes' analysis of the lever; Boyle's law for gas pressure; and Hooke's law for springs. These were all formulated and experimentally verified before Isaac Newton expounded his three laws of motion.
Dynamical equilibrium

Dynamical equilibrium was first described by Galileo who noticed that certain assumptions of Aristotelian physics were contradicted by observations and logic. Galileo realized that simple velocity addition demands that the concept of an "absolute rest frame" did not exist. Galileo concluded that motion in a constant velocity was completely equivalent to rest. This was contrary to Aristotle's notion of a "natural state" of rest that massive objects naturally approached. Simple experiments showed that Galileo's understanding of the equivalence of constant velocity and rest to be correct. For example, if a mariner dropped a cannonball from the crow's nest of a ship moving at a constant velocity, Aristotelian physics would have the cannonball fall straight down while the ship moved beneath it. Thus, in an Aristotelian universe, the falling cannonball would land behind the foot of the mast of a moving ship. However, when this experiment is actually conducted, the cannonball always falls at the foot of the mast, as if the cannonball knows to travel with the ship despite being separated from it. Since there is no forward horizontal force being applied on the cannonball as it falls, the only conclusion left is that the cannonball continues to move with the same velocity as the boat as it falls. Thus, no force is required to keep the cannonball moving at the constant forward velocity.
Moreover, any object traveling at a constant velocity must be subject to zero net force (resultant force). This is the definition of dynamical equilibrium: when all the forces on an object balance but it still moves at a constant velocity.
A simple case of dynamical equilibrium occurs in constant velocity motion across a surface with kinetic friction. In such a situation, a force is applied in the direction of motion while the kinetic friction force exactly opposes the applied force. This results in a net zero force, but since the object started with a non-zero velocity, it continues to move with a non-zero velocity. Aristotle misinterpreted this motion as being caused by the applied force. However, when kinetic friction is taken into consideration it is clear that there is no net force causing constant velocity motion.
Feynman diagrams
Forces and the acceleration of particles in modern particle physics happen during the exchange of gauge bosons. With the development of quantum field theory and general relativity, it was realized that “force” is a redundant concept arising from conservation of momentum ( 4-momentum in relativity and momentum of virtual particles in Quantum Electrodynamics). The conservation of momentum, from Noether's theorem, can be directly derived from the symmetry of space and so is usually considered more fundamental than the concept of a force. Thus the currently known fundamental forces are considered more accurately to be “ fundamental interactions”. While sophisticated mathematical descriptions are needed to predict, in full detail, the nature of such interactions, there is a conceptually simple way to describe such interactions through the use of Feynman diagrams. In a Feynman diagram, each matter particle is represented as a straight line (see world line) traveling through time which normally increases up or to the right in the diagram. Matter and anti-matter particles are identical except for their direction of propagation through the Feynman diagram. World lines of particles intersect at interaction vertices, and the Feynman diagram represents any force arising from an interaction as occurring at the vertex with an associated instantaneous change in the direction of the particle world lines. Gauge bosons are emitted away from the vertex as wavy lines (similar to waves) and, in the case of virtual particle exchange, are absorbed at an adjacent vertex. When the gauge bosons are represented in a Feynman diagram as existing between two interacting particles, this represents a repulsive force. When the gauge bosons are represented in a Feynman diagram as existing surrounding the two interacting particles, this represents an attractive force.
The utility of Feynman diagrams is that other types of physical phenomena that are part of the general picture of fundamental interactions but are conceptually separate from forces can also be described using the same rules. For example, a Feynman diagram can describe in succinct detail how a neutron decays into an electron, proton, and neutrino: an interaction mediated by the same gauge boson that is responsible for the weak nuclear force. While the Feynman diagram for this interaction has similar features to a repulsive interaction, the decay is more complicated than a simple "repulsive force".
Special relativity
In the special theory of relativity mass and energy are equivalent (as can be seen by calculating the work required to accelerate a body). When an object's velocity increases so does its energy and hence its mass equivalent (inertia). It thus requires more force to accelerate it the same amount than it did at a lower velocity. The definition
remains valid. But in order to be conserved, momentum must be redefined as:
where
- v is the velocity and
- c is the speed of light.
The relativistic expression relating force and acceleration for a particle with non-zero rest mass
moving in the
direction is:
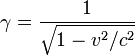
where the Lorentz factor
Here a constant force does not produce a constant acceleration, but an ever decreasing acceleration as the object approaches the speed of light. Note that γ is undefined for an object with a non zero rest mass at the speed of light, and the theory yields no prediction at that speed.
One can however restore the form of
for use in relativity through the use of four-vectors. This relation is correct in relativity when Fμ is the four-force, m is the invariant mass, and Aμ is the four-acceleration.
Fundamental models
All the forces in the Universe are all based on four fundamental forces. The strong and weak forces act only at very short distances, and are responsible for holding certain nucleons and compound nuclei together. The electromagnetic force acts between electric charges and the gravitational force acts between masses. All other forces are based on the existence of the four fundamental interactions. For example, friction is a manifestation of the electromagnetic force acting between the atoms of two surfaces, and the Pauli Exclusion Principle, which does not allow atoms to pass through each other. The forces in springs modeled by Hooke's law are also the result of electromagnetic forces and the Exclusion Principle acting together to return the object to its equilibrium position. Centrifugal forces are acceleration forces which arise simply from the acceleration of rotating frames of reference.
The modern quantum mechanical view of the first three fundamental forces (all except gravity) is that particles of matter ( fermions) do not directly interact with each other but rather by exchange of virtual particles called gauge bosons.
It is a common misconception to ascribe the stiffness and rigidity of solid matter to the repulsion of like charges under the influence of the electromagnetic force. However, these characteristics actually result from the Pauli Exclusion Principle. Since electrons are fermions, they cannot occupy the same quantum mechanical state as other electrons. When the electrons in a material are densely packed together, there are not enough lower energy quantum mechanical states for them all, so some of them must be in higher energy states. This means that it takes energy to pack them together. While this effect is manifested macroscopically as a structural "force", it is technically only the result of the existence of a finite set of electron states.
Gravity

What we now call gravity was not identified as a universal force until the work of Isaac Newton. Before Newton, the tendency for objects to fall towards the Earth was not understood to be related to the motions of celestial objects. Galileo was instrumental in describing the characteristics of falling objects by determining that the acceleration of every body in free-fall was constant and independent of the mass of the object. Today, this acceleration due to gravity at the surface of the Earth is usually designated as
and has a magnitude of about 9.81 meters per second squared (this measurement is taken from sea level and may vary depending on location), and points toward the centre of the Earth. This observation means that the force of gravity on an object at the Earth's surface is directly proportional to the object's mass. Thus an object that has a mass of m will experience a force:
In free-fall, this force is unopposed and therefore the net force on the object is the force of gravity. For objects not in free-fall, the force of gravity is opposed by the weight of the object. For example, a person standing on the ground experiences zero net force, since the force of gravity is balanced by the weight of the person that is manifested by a normal force exerted on the person by the ground.
Newton's contribution to gravitational theory was to unify the motions of heavenly bodies, which Aristotle had assumed were in a natural state of constant motion, with falling motion observed on the Earth. He proposed a law of gravity that could account for the celestial motions that had been described earlier using Kepler's Laws of Planetary Motion.
Newton came to realize that the effects of gravity might be observed in different ways at larger distances. In particular, Newton determined that the acceleration of the moon around the Earth could be ascribed to the same force of gravity if the acceleration due to gravity decreased as an inverse square law. Further, Newton realized that the mass of the gravitating object directly affected the acceleration due to gravity. Combining these ideas gives a formula that relates the mass of the Earth (
), the radius of the Earth (
) to the acceleration due to gravity:
where the vector direction is given by
which is the unit vector directed outward from the centre of the Earth.
In this equation, a dimensional constant G is used to describe the relative strength of gravity. This constant has come to be known as Newton's Universal Gravitation Constant, though it was of an unknown value in Newton's lifetime. Not until 1798 was Henry Cavendish able to make the first measurement of G using a torsion balance; this was widely reported in the press as a measurement of the mass of the Earth since knowing the G could allow one to solve for the Earth's mass given the above equation. Newton, however, realized that since all celestial bodies followed the same laws of motion, his law of gravity had to be universal. Succinctly stated, Newton's Law of Gravitation between two massive bodies is
where m1 is the mass of first object and m2 is the mass of the second object.
This formula was powerful enough to stand as the basis for all subsequent descriptions of motion within the solar system until the twentieth century. During that time, sophisticated methods of perturbation analysis were invented to calculate the deviations of orbits due to the influence of multiple bodies on a planet, moon, comet, or asteroid. These techniques are so powerful that they can be used to predict precisely the motion of celestial bodies to an arbitrary precision at any length of time in the future. The formalism was exact enough to allow mathematicians to predict the existence of the planet Neptune before it was observed.
It was only the orbit of the planet Mercury that Newton's Law of Gravitation seemed not to fully explain. Some astrophysicists predicted the existence of another planet ( Vulcan) that would explain the discrepancies; however, despite some early indications, no such planet could be found. When Albert Einstein finally formulated his theory of general relativity (GR) he turned his attention to the problem of Mercury's orbit and found that his theory added a correction which could account for the discrepancy. This was the first time that Newton's Theory of Gravity had been shown to be less correct than an alternative.
Since then, and so far, general relativity has been acknowledged as the theory which best explains gravity. In GR, gravitation is not viewed as a force, but rather, objects moving freely in gravitational fields travel under their own inertia in straight lines through curved space-time – defined as the shortest space-time path between two space-time events. From the perspective of the object, all motion occurs as if there were no gravitation whatsoever. It is only when observing the motion in a global sense that the curvature of space-time can be observed and the force is inferred from the object's curved path. Thus, the straight line path in space-time is seen as a curved line in space, and it is called the ballistic trajectory of the object. For example, a basketball thrown from the ground moves in a parabola, as it is in a uniform gravitational field. Its space-time trajectory (when the extra ct dimension is added) is almost a straight line, slightly curved (with the radius of curvature of the order of few light-years). The time derivative of the changing momentum of the body is what we label as "gravitational force".
Electromagnetic forces
In 1784 Charles Coulomb discovered the inverse square law of interaction between electric charges using a torsion balance; this was the second fundamental force. The weak and strong forces were discovered in the 20th century through the development of nuclear physics.
The electrostatic force was first described in 1784 by Coulomb as a force which existed intrinsically between two charges. The properties of the electrostatic force were that it varied as an inverse square law directed in the radial direction, was both attractive and repulsive (there was intrinsic polarity), was independent of the mass of the charged objects, and followed the law of superposition. Unifying all these observations into one succinct statement became known as Coulomb's Law.
Subsequent mathematicians and physicists found the construct of the electric field to be useful for determining the electrostatic force on an electric charge at any point in space. Based on Coulomb's Law, knowing the characteristics of the electric field in a given space is equivalent to knowing what the electrostatic force applied on a " test charge" is.
Meanwhile, knowledge was developed of the Lorentz force of magnetism, the force that exists between two electric currents. It has the same mathematical character as Coulomb's Law with the proviso that like currents attract and unlike currents repel. Similar to the electric field, the magnetic field can be used to determine the magnetic force on an electric current at any point in space. Combining the definition of electric current as the time rate of change of electric charge yields a law of vector multiplication called Lorentz's Law which determines the force on a charge moving in an magnetic field.
Thus a full theory of the electromagnetic force on a charge can be written as a sum of the electrostatic force (due to the electric field) and the magnetic force (due to the magnetic field). Fully stated, this is the law:
where
is the electromagnetic force, q is the magnitude of the charge of the particle,
is the velocity of the particle,
is the electric field, and
is the magnetic field.
The origin of electric and magnetic fields would not be fully explained until 1864 when James Clerk Maxwell unified a number of earlier theories into a succinct set of four equations. These "Maxwell Equations" fully described the sources of the fields as being stationary and moving charges, and the interactions of the fields themselves. This led Maxwell to discover that electric and magnetic fields could be "self-generating" through a wave that traveled at a speed which he calculated to be the speed of light. This insight united the nascent fields of electromagnetic theory with optics and led directly to a complete description of the electromagnetic spectrum.
However, attempting to reconcile electromagnetic theory with two observations, the photoelectric effect, and the nonexistence of the ultraviolet catastrophe, proved troublesome. Through the work of leading theoretical physicists, a new theory of electromagnetism was developed using quantum mechanics. This final modification to electromagnetic theory ultimately led to quantum electrodynamics (or QED), which fully describes all electromagnetic phenomena as being mediated by wave particles known as photons. In QED, photons are the fundamental exchange particle which described all interactions relating to electromagnetism including the electromagnetic force.
Nuclear forces
There are two "nuclear forces" which today are usually described as interactions that take place in quantum theories of particle physics. The strong nuclear force is the force responsible for the structural integrity of atomic nuclei while the weak nuclear force is responsible for the decay of certain nucleons into leptons and other types of hadrons.
The strong force is today understood to represent the interactions between quarks and gluons as detailed by the theory of quantum chromodynamics (QCD). The strong force is the fundamental force mediated by gluons, acting upon quarks, antiquarks, and the gluons themselves. The strong interaction is the most powerful of the four fundamental forces.
The strong force only acts directly upon elementary particles. However, a residual of the force is observed between hadrons (the best known example being the force that acts between nucleons in atomic nuclei) as the nuclear force. Here the strong force acts indirectly, transmitted as gluons which form part of the virtual pi and rho mesons which classically transmit the nuclear force (see this topic for more). The failure of many searches for free quarks has shown that the elementary particles affected are not directly observable. This phenomenon is called colour confinement.
The weak force is due to the exchange of the heavy W and Z bosons. Its most familiar effect is beta decay (of neutrons in atomic nuclei) and the associated radioactivity. The word "weak" derives from the fact that the field strength is some 1013 times less than that of the strong force. Still, it is stronger than gravity over short distances. A consistent electroweak theory has also been developed which shows that electromagnetic forces and the weak force are indistinguishable at a temperatures in excess of approximately 1015 Kelvin. Such temperatures have been probed in modern particle accelerators and show the conditions of the universe in the early moments of the Big Bang.
Non-fundamental models
Some forces can be modeled by making simplifying assumptions about the physical conditions. In such situations, idealized models can be utilized to gain physical insight.
Normal force
The normal force is the surface force which acts normal to the surface interface between two objects. The normal force, for example, is responsible for the structural integrity of tables and floors as well as being the force that responds whenever an external force pushes on a solid object. An example of the normal force in action is the impact force of an object crashing into an immobile surface. This force is proportional to the square of that object's velocity due to the conservation of energy and the work energy theorem when applied to completely inelastic collisions.
Friction
Friction is a surface force that opposes motion. The frictional force is directly related to the normal force which acts to keep two solid objects separated at the point of contact. There are two broad classifications of frictional forces: static friction and kinetic friction.
The static friction force (Fsf) will exactly oppose forces applied to a body parallel to a surface contact up to the limit specified by the coefficient of static friction (μsf) multiplied by the normal force (FN). In other words the magnitude of the static friction force satisfies the inequality:
.
The kinetic friction force (Fkf) is independent of both the forces applied and the movement of the object. Thus, the magnitude of the force is equal to
- Fkf = μkfFN,
where μkf is the coefficient of kinetic friction. For most surface interfaces, the coefficient of kinetic friction is less than the coefficient of static friction.
Continuum mechanics

In extended fluids, differences in pressure result in forces being directed along the pressure gradients as follows:
where V is the volume of the object in the fluid and P is the scalar function that describes the pressure at all locations in space. Pressure gradients and differentials result in the buoyant force for fluids suspended in gravitational fields, winds in atmospheric science, and the lift associated with aerodynamics and flight.
A specific instance of such a force that is associated with dynamic pressure is fluid resistance: a body force that resists the motion of an object through a fluid due to viscosity. For so-called " Stokes's drag" the force is approximately proportional to the velocity, but opposite in direction:
where:
- b is a constant that depends on the properties of the fluid and the dimensions of the object (usually the cross-sectional area), and
is the velocity of the object.
More formally, forces in continuum mechanics are fully desribed by a stress tensor with terms that are rougly defined as
where A is the relevant cross-sectional area for the volume for which the stress-tensor is being calculated. This formalism includes pressure terms associated with forces that act normal to the cross-sectional area (the matrix diagonals of the tensor) as well as shear terms associated with forces that act parallel to the cross-sectional area (the off-diagonal elements). The stress tensor accounts for forces that cause all deformations including also tensile stresses and compressions.
Tension
Tension forces can be idealized using ideal strings which are massless, frictionless, unbreakable, and unstretchable. They can be combined with ideal pulleys which allow ideal strings to switch physical direction. Ideal strings transmit tension forces instantaneously in action-reaction pairs so that if two objects are connected by an ideal string, any force directed along the string by the first object is accompanied by a force directed along the string in the opposite direction by the second object. By connecting the same string multiple times to the same object through the use of a set-up that uses movable pulleys, the tension force on a load can be multiplied. For every string that acts on a load, another factor of the tension force in the string acts on the load. However, even though such machines allow for an increase in force, there is a corresponding increase in the length of string that must be displaced in order to move the load. These tandem effects result ultimately in the conservation of mechanical energy since the work done on the load is the same no matter how complicated the machine.
Elastic force
An elastic force acts to return a spring to its natural length. An ideal spring is taken to be massless, frictionless, unbreakable, and infinitely stretchable. Such springs exert forces that push when contracted, or pull when extended, in proportion to the displacement of the spring from its equilibrium position. This linear relationship was described by Robert Hooke in 1676, for whom Hooke's law is named. If Δx is the displacement, the force exerted by an ideal spring is equal to:
where k is the spring constant (or force constant), which is particular to the spring. The minus sign accounts for the tendency of the elastic force to act in opposition to the applied load.
Centripetal force
For an object accelerating in circular motion, the unbalanced force acting on the object is equal to
where m is the mass of the object, v is the velocity of the object and r is the distance to the centre of the circular path and
is the unit vector pointing in the radial direction outwards from the center. This means that the unbalanced centripetal force felt by any object is always directed toward the centre of the curving path. Such forces act perpendicular to the velocity vector associated with the motion of an object, and therefore do not change the speed of the object (magnitude of the velocity), but only the direction of the velocity vector. The unbalanced force that accelerates an object can be resolved into a component that is perpendicular to the path, and one that is tangential to the path. This yields both the tangential force which accelerates the object by either slowing it down or speeding it up and the radial (centripetal) force which changes its direction.
Fictitious forces
There are forces which are frame dependent, meaning that they appear due to the adoption of non-Newtonian (that is, non-inertial) reference frames. Such forces include the centrifugal force and the Coriolis force. These forces are considered fictitious because they do not exist in frames of reference that are not accelerating. In general relativity, gravity becomes a fictitious force that arises in situations where spacetime deviates from a flat geometry. As an extension, Kaluza-Klein theory and string theory ascribe electromagnetism and the other fundamental forces respectively to the curvature of differently-scaled dimensions, which would ultimately implies that all forces are fictitious.
Rotations and torque

Forces that cause extended objects to rotate are associated with torques. Mathematically, the torque on a particle is defined as the cross-product:
where
is the particle's position vector relative to a pivot
is the force acting on the particle.
Torque is the rotation equivalent of force in the same way that angle is the rotational equivalent for position, angular velocity for velocity, and angular momentum for momentum. All the formal treatments of Newton's Laws that applied to forces equivalently apply to torques. Thus, as a consequence of Newton's First Law of Motion, there exists rotational inertia that ensures that all bodies maintain their angular momentum unless acted upon by an unbalanced torque. Likewise, Newton's Second Law of Motion can be used to derive an alternative definition of torque:
where
- I is the moment of inertia of the particle
is the angular acceleration of the particle.
This provides a definition for the moment of inertia which is the rotational equivalent for mass. In more advanced treatments of mechanics, the moment of inertia acts as a tensor that, when properly analyzed, fully determines the characteristics of rotations including precession and nutation.
Equivalently, the differential form of Newton's Second Law provides an alternative definition of torque:
where
is the angular momentum of the particle.
Newton's Third Law of Motion requires that all objects exerting torques themselves experience equal and opposite torques, and therefore also directly implies the conservation of angular momentum for closed systems that experience rotations and revolutions through the action of internal torques.
Kinematic integrals
Forces can be used to define a number of physical concepts by integrating with respect to kinematic variables. For example, integrating with respect to time gives the definition of impulse:
which, by Newton's Second Law, must be equivalent to the change in momentum (yielding the Impulse momentum theorem).
Similarly, integrating with respect to position gives a definition for the work done by a force:
which, in a system where all the forces are conservative (see below) is equivalent to changes in kinetic and potential energy (yielding the Work energy theorem). The time derivative of the definition of work gives a definition for power in term of force and the velocity (
):
Potential energy
Instead of a force, the mathematically equivalent concept of a potential energy field can be used for convenience. For instance, the gravitational force acting upon a body can be seen as the action of the gravitational field that is present at the body's location. Restating mathematically the definition of energy (via definition of work), a potential scalar field
is defined as that field whose gradient is equal and opposite to the force produced at every point:
Forces can be classified as conservative or nonconservative. Conservative forces are equivalent to the gradient of a potential while non-conservative forces are not.
Conservative forces
A conservative force that acts on a closed system has an associated mechanical work that allows energy to convert only between kinetic or potential forms. This means that for a closed system, the net mechanical energy is conserved whenever a conservative force acts on the system. The force, therefore, is related directly to the difference in potential energy between two different locations in space, and can be considered to be an artifact of the potential field in the same way that the direction and amount of a flow of water can be considered to be an artifact of the contour map of the elevation of an area.
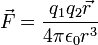
Conservative forces include gravity, the electromagnetic force, and the spring force. Each of these forces have models which are dependent on a position often given as a radial vector
emanating from spherically symmetric potentials. Examples of this follow:
For gravity:
where G is the gravitational constant, and mn is the mass of object n.
For electrostatic forces:
where ε0 is electric permittivity of free space, and qn is the electric charge of object n.
For spring forces:
where k is the spring constant.
Nonconservative forces
For certain physical scenarios, it is impossible to model forces as being due to gradient of potentials. This is often due to macrophysical considerations which yield forces as arising from a macroscopic statistical average of microstates. For example, friction is caused by the gradients of numerous electrostatic potentials between the atoms, but manifests as a force model which is independent of any macroscale position vector. Nonconservative forces other than friction include other contact forces, tension, compression, and drag. However, for any sufficiently detailed description, all these forces are the results of conservative ones since each of these macroscopic forces are the net results of the gradients of microscopic potentials.
The connection between macroscopic non-conservative forces and microscopic conservative forces is described by detailed treatment with statistical mechanics. In macroscopic closed systems, nonconservative forces act to change the internal energies of the system, and are often associated with the transfer of heat. According to the Second Law of Thermodynamics, nonconservative forces necessarily result in energy transformations within closed systems from ordered to more random conditions as entropy increases.
Units of measurement
The SI unit of force is the newton (symbol N), which is the force required to accelerate a one kilogram mass at a rate of one meter per second squared, or kg•m•s−2. The corresponding CGS unit is the dyne, the force required to accelerate a one gram mass by one centimeter per second squared, or g•cm•s−2. 1 newton is thus equal to 100,000 dyne.
The foot-pound-second Imperial unit of force is the pound-force (lbf), defined as the force exerted by gravity on a pound-mass in the standard gravitational field of 9.80665 m•s−2. The pound-force provides an alternate unit of mass: one slug is the mass that will accelerate by one foot per second squared when acted on by one pound-force. An alternate unit of force in the same system is the poundal, defined as the force required to accelerate a one pound mass at a rate of one foot per second squared. The units of slug and poundal are designed to avoid a constant of proportionality in Newton's Second Law.
The pound-force has a metric counterpart, less commonly used than the newton: the kilogram-force (kgf) (sometimes kilopond), is the force exerted by standard gravity on one kilogram of mass. The kilogram-force leads to an alternate, but rarely used unit of mass: the metric slug (sometimes mug or hyl) is that mass which accelerates at 1 m•s−2 when subjected to a force of 1 kgf. The kilogram-force is not a part of the modern SI system, and is generally deprecated; however it still sees use for some purposes as expressing jet thrust, bicycle spoke tension, torque wrench settings and engine output torque. Other arcane units of force include the sthène which is equivalent to 1000 N and the kip which is equivalent to 1000 lbf.
| newton ( SI unit) |
dyne | kilogram-force, kilopond |
pound-force | poundal | |
|---|---|---|---|---|---|
| 1 N | ≡ 1 kg·m/s² | = 105 dyn | ≈ 0.10197 kp | ≈ 0.22481 lbf | ≈ 7.2330 pdl |
| 1 dyn | = 10−5 N | ≡ 1 g·cm/s² | ≈ 1.0197×10−6 kp | ≈ 2.2481×10−6 lbf | ≈ 7.2330×10−5 pdl |
| 1 kp | = 9.80665 N | = 980665 dyn | ≡ gn·(1 kg) | ≈ 2.2046 lbf | ≈ 70.932 pdl |
| 1 lbf | ≈ 4.448222 N | ≈ 444822 dyn | ≈ 0.45359 kp | ≡ gn·(1 lb) | ≈ 32.174 pdl |
| 1 pdl | ≈ 0.138255 N | ≈ 13825 dyn | ≈ 0.014098 kp | ≈ 0.031081 lbf | ≡ 1 lb· ft/s² |
| The value of gn as used in the official definition of the kilogram-force is used here for all gravitational units. | |||||



































