Kinetic energy
2008/9 Schools Wikipedia Selection. Related subjects: Mathematics; Physics

The kinetic energy of an object is the extra energy which it possesses due to its motion. It is defined as the work needed to accelerate a body of a given mass from rest to its current velocity. Having gained this energy during its acceleration, the body maintains this kinetic energy unless its speed changes. Negative work of the same magnitude would be required to return the body to a state of rest from that velocity.
Etymology
The adjective "kinetic" to the noun energy has its roots in the Greek word for "motion" ( kinesis). The terms kinetic energy and work and their present scientific meanings date back to the mid 19th century. Early understandings of these ideas can be attributed to Gaspard-Gustave Coriolis who in 1829 published the paper titled Du Calcul de l'Effet des Machines outlining the mathematics of kinetic energy.
William Thomson, later Lord Kelvin, is given the credit for coining the term kinetic energy c. 1849.
Introduction
There are various forms of energy : chemical energy, heat, electromagnetic radiation, potential energy (gravitational, electric, elastic, etc.), nuclear energy, rest energy. These can be categorized in two main classes: potential energy and kinetic energy.
Kinetic energy can be best understood by examples that demonstrate how it is transformed from other forms of energy and to the other forms. For example, a cyclist will use chemical energy that was provided by food to accelerate a bicycle to a chosen speed. This speed can be maintained without further work, except to overcome air-resistance and friction. The energy has been converted into the energy of motion, known as kinetic energy but the process is not completely efficient and heat is also produced within the cyclist.
The kinetic energy in the moving bicycle and the cyclist can be converted to other forms. For example, the cyclist could encounter a hill just high enough to coast up, so that the bicycle comes to a complete halt at the top. The kinetic energy has now largely been converted to gravitational potential energy that can be released by freewheeling down the other side of the hill. (Since the bicycle lost some of its energy to friction, it will never regain all of its speed without further pedaling. Note that the energy is not lost because it has only been converted to another form by friction.) Alternatively the cyclist could connect a dynamo to one of the wheels and also generate some electrical energy on the descent. The bicycle would be traveling more slowly at the bottom of the hill because some of the energy has been diverted into making electrical power. Another possibility would be for the cyclist to apply the brakes, in which case the kinetic energy would be dissipated through friction as heat energy.
Like any physical quantity which is a function of velocity, the kinetic energy of an object does not depend only on the inner nature of that object. It also depends on the relationship between that object and the observer (in physics an observer is formally defined by a particular class of coordinate system called an inertial reference frame). Physical quantities like this are said to be not invariant. The kinetic energy is co-located with the object and contributes to its gravitational field.
Calculations
There are several different equations that may be used to calculate the kinetic energy of an object. In many cases they give almost the same answer to well within measurable accuracy. Where they differ, the choice of which to use is determined by the velocity of the body or its size. Thus, if the object is moving at a velocity much smaller than the speed of light, the Newtonian (classical) mechanics will be sufficiently accurate; but if the speed is comparable to the speed of light, relativity starts to make significant differences to the result and should be used. If the size of the object is sub-atomic, the quantum mechanical equation is most appropriate.
Newtonian kinetic energy
Kinetic energy of rigid bodies
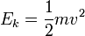
In classical mechanics, the kinetic energy of a "point object" (a body so small that its size can be ignored), or a non rotating rigid body, is given by the equation
where m is the mass and v is the velocity of the body.
For example - one would calculate the kinetic energy of an 80 kg mass traveling at 18 meters per second (40 mph) as
.
Note that the kinetic energy increases with the square of the speed. This means, for example, that if you are traveling twice as fast, you will have four times as much kinetic energy. As a result of this, a car traveling twice as fast requires four times as much distance to stop (assuming a constant braking force. See mechanical work).
Thus, the kinetic energy can be calculated using the formula:
where:
- Ek is the kinetic energy in joules
- m is the mass in kilograms, and
- v is the velocity in meters per second.
- m is the mass in kilograms, and
For the translational kinetic energy of a body with constant mass m, whose centre of mass is moving in a straight line with speed v, as seen above is equal to
where:
- m is mass of the body
- v is speed of the centre of mass of the body.
Thus kinetic energy is a relative measure and no object can be said to have a unique kinetic energy. A rocket engine could be seen to transfer its energy to the rocket ship or to the exhaust stream depending upon the chosen frame of reference. But the total energy of the system, i.e. kinetic energy, fuel chemical energy, heat energy etc, will be conserved regardless of the choice of measurement frame.
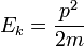
The kinetic energy of an object is related to its momentum by the equation:
Derivation and definition
The work done accelerating a particle during the infinitesimal time interval dt is given by the dot product of force and displacement:
Applying the product rule we see that:
Therefore (assuming constant mass), the following can be seen:
Since this is a total differential (that is, it only depends on the final state, not how the particle got there), we can integrate it and call the result kinetic energy:
This equation states that the kinetic energy (Ek) is equal to the integral of the dot product of the velocity (v) of a body and the infinitesimal change of the body's momentum (p). It is assumed that the body starts with no kinetic energy when it is at rest (motionless).
Kinetic energy of systems
For a single point, or a rigid body that is not rotating, the kinetic energy goes to zero when the body stops.
However, for systems containing multiple independently moving bodies, which may exert forces between themselves, and may (or may not) be rotating; this is no longer true.
This energy is called 'internal energy'.
The kinetic energy of the system at any instant in time is simply the sum of the kinetic energies of the masses- including the kinetic energy due to the rotations.
An example would be the solar system. In the centre of mass frame of the solar system, the Sun is (almost) stationary, but the planets and planetoids are in motion about it. Thus even in a stationary centre of mass frame, there is still kinetic energy present.
However, recalculating the energy from different frames would be tedious, but there is a trick. The kinetic energy of the system from a different inertial frame can be calculated simply from the sum of the kinetic energy in the center of mass frame and adding on the energy that the total mass of bodies in the centre of mass frame would have if it were moving at the relative speed between the two frames.
This may be simply shown: let V be the relative speed of the frame k from the centre of mass frame i :
However, let
the kinetic energy in the centre of mass frame,
would be simply the total momentum which is by definition zero in the centre of mass frame, and let the total mass:
. Substituting, we get:
The kinetic energy of a system thus depends on the inertial frame of reference and it is lowest with respect to the centre of mass reference frame, i.e., in a frame of reference in which the center of mass is stationary. In any other frame of reference there is an additional kinetic energy corresponding to the total mass moving at the speed of the centre of mass.
Rotating bodies
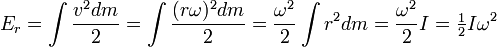
If a rigid body is rotating about any line through the centre of mass then it has rotational kinetic energy (Er) which is simply the sum of the kinetic energies of its moving parts, and thus it is equal to:
where:
- ω is the body's angular velocity.
- r is the distance of any mass dm from that line
- I is the body's moment of inertia

- r is the distance of any mass dm from that line
(In this equation the moment of inertia must be taken about an axis through the centre of mass and the rotation measured by ω must be around that axis; more general equations exist for systems where the object is subject to wobble due to its eccentric shape).
Rotation in systems
It sometimes is convenient to split the total kinetic energy of a body into the sum of the body's center-of-mass translational kinetic energy and the energy of rotation around the centre of mass rotational energy:
where:
- Ek is the total kinetic energy
- Et is the translational kinetic energy
- Er is the rotational energy or angular kinetic energy in the rest frame
- Et is the translational kinetic energy
Thus the kinetic energy of a tennis ball in flight is the kinetic energy due to its rotation, plus the kinetic energy due to its translation.
Relativistic kinetic energy of rigid bodies
In special relativity, we must change the expression for linear momentum. Integrating by parts, we get:
Remembering that
, we get:
And thus:
The constant of integration is found by observing that
when
, so we get the usual formula:
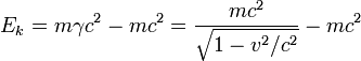
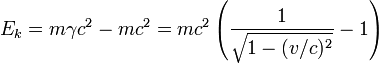
If a body's speed is a significant fraction of the speed of light, it is necessary to use relativistic mechanics (the theory of relativity as expounded by Albert Einstein) to calculate its kinetic energy.
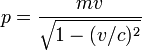
For a relativistic object the momentum p is equal to:
,
where m is the rest mass, v is the object's speed, and c is the speed of light in vacuum.
Thus the work expended accelerating an object from rest to a relativistic speed is:
.
The equation shows that the energy of an object approaches infinity as the velocity v approaches the speed of light c, thus it is impossible to accelerate an object across this boundary.
The mathematical by-product of this calculation is the mass-energy equivalence formula—the body at rest must have energy content equal to:
At a low speed (v<<c), the relativistic kinetic energy may be approximated well by the classical kinetic energy. This is done by binomial approximation. Indeed, taking Taylor expansion for square root and keeping first two terms we get:
,
So, the total energy E can be partitioned into the energy of the rest mass plus the traditional Newtonian kinetic energy at low speeds.
When objects move at a speed much slower than light (e.g. in everyday phenomena on Earth), the first two terms of the series predominate. The next term in the approximation is small for low speeds, and can be found by extending the expansion into a Taylor series by one more term:
.
For example, for a speed of 10 km/s the correction to the Newtonian kinetic energy is 0.07 J/kg (on a Newtonian kinetic energy of 50 MJ/kg) and for a speed of 100 km/s it is 710 J/kg (on a Newtonian kinetic energy of 5 GJ/kg), etc.
For higher speeds, the formula for the relativistic kinetic energy is derived by simply subtracting the rest mass energy from the total energy:
.
The relation between kinetic energy and momentum is more complicated in this case, and is given by the equation:
.
This can also be expanded as a Taylor series, the first term of which is the simple expression from Newtonian mechanics.
What this suggests is that the formulas for energy and momentum are not special and axiomatic, but rather concepts which emerge from the equation of mass with energy and the principles of relativity.
Quantum mechanical kinetic energy of rigid bodies
In the realm of quantum mechanics, the expectation value of the electron kinetic energy,
, for a system of electrons described by the wavefunction
is a sum of 1-electron operator expectation values:
where me is the mass of the electron and
is the Laplacian operator acting upon the coordinates of the ith electron and the summation runs over all electrons. Notice that this is the quantized version of the non-relativistic expression for kinetic energy in terms of momentum:
The density functional formalism of quantum mechanics requires knowledge of the electron density only, i.e., it formally does not require knowledge of the wavefunction. Given an electron density
, the exact N-electron kinetic energy functional is unknown; however, for the specific case of a 1-electron system, the kinetic energy can be written as
where T[ρ] is known as the Von Weizsacker kinetic energy functional.
Some examples
Spacecraft use chemical energy to take off and gain considerable kinetic energy to reach orbital velocity. This kinetic energy gained during launch will remain constant while in orbit because there is almost no friction. However it becomes apparent at re-entry when the kinetic energy is converted to heat.
Kinetic energy can be passed from one object to another. In the game of billiards, the player gives kinetic energy to the cue ball by striking it with the cue stick. If the cue ball collides with another ball, it will slow down dramatically and the ball it collided with will accelerate to a speed as the kinetic energy is passed on to it. Collisions in billiards are effectively elastic collisions, where kinetic energy is preserved.
Flywheels are being developed as a method of energy storage (see article flywheel energy storage). This illustrates that kinetic energy can also be rotational. Note the formula in the articles on flywheels for calculating rotational kinetic energy is different, though analogous.

















![T[\rho] = \frac{1}{8} \int \frac{ \nabla \rho(\mathbf{r}) \cdot \nabla \rho(\mathbf{r}) }{ \rho(\mathbf{r}) } d^3r](../../images/275/27577.png)