Logarithm
2008/9 Schools Wikipedia Selection. Related subjects: Mathematics

In mathematics, a logarithm of a given number to a given base is the power to which you need to raise the base in order to get the number. For example, the logarithm of 1000 to the common base 10 is 3, because 10 raised to a power of 3 is 1000. More generally, for a number x, a base b and a power n,
This result is extended to powers of b that are not integers by requiring the logarithm with base b of a number x is the exponent y that satisfies x = by. It is written logb(x) or, if the base is implicit, as log(x).
In other words, for a number x, a base b and an exponent y,
A major utility of logarithms is that they reduce multiplication to addition, by the formula:
That is, the log of a product of two numbers is the sum of the logarithms of those numbers. Consequently, to multiply two numbers, find their logarithms, with the help of tables of logarithms, add them, and then find the inverse logarithm of the sum, using the same tables.
Properties of the logarithm
When x and b are restricted to positive real numbers, logb(x) is a unique real number. The magnitude of the base b must be neither 0 nor 1; the base used is typically 10, e, or 2. Logarithms are defined for real numbers and for complex numbers.
The major property of logarithms is that they map multiplication to addition. This ability stems from the following identity:
which by taking logarithms becomes
A related property is reduction of exponentiation to multiplication. Using the identity:
it follows that c to the power p (exponentiation) is:
or, taking logarithms:
In words, to raise a number to a power p, find the logarithm of the number and multiply it by p. The exponentiated value is then the inverse logarithm of this product; that is, number to power = bproduct.
Besides reducing multiplication operations to addition, and exponentiation to multiplication, logarithms reduce division to subtraction, and roots to division. Logarithms make lengthy numerical operations easier to perform. The whole process is made easy by using tables of logarithms, or a slide rule, antiquated now that calculators are available. Although the above practical advantages are not important for numerical work today, they are used in graphical analysis (see Bode plot).
The logarithm as a function
Though logarithms have been traditionally thought of as arithmetic sequences of numbers corresponding to geometric sequences of other (positive real) numbers, as in the 1797 Britannica definition, they are also the result of applying an analytic function. The function can therefore be meaningfully extended to complex numbers.
The function logb(x) depends on both b and x, but the term logarithm function (or logarithmic function) in standard usage refers to a function of the form logb(x) in which the base b is fixed and so the only argument is x. Thus there is one logarithm function for each value of the base b (which must be positive and must differ from 1). Viewed in this way, the base-b logarithm function is the inverse function of the exponential function bx. The word "logarithm" is often used to refer to a logarithm function itself as well as to particular values of this function.
The base can also be a complex number; the evaluation of the log is just slightly more complicated in this case. See imaginary base.
Logarithm of a complex number
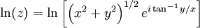
When the base b is real and z is a complex number, say z = x + i y, the logarithm of z is found easily by putting z in polar form that is, z = (x2 + y2)1/2 exp (i tan−1 (y / x) ). If the base of the logarithm is chosen as e , that is, using loge (denoted by ln and called the natural logarithm), the logarithm becomes:
This evaluation uses the properties of all logarithms (see above), regardless of choice of base: logb (c d ) = logb (c ) + logb (d ) and its generalization to arbitrary products logb bz = z. Because the inverse tangent is a multiple valued function of its argument, the logarithm of a complex number is not unique either. See article on complex logarithm.
Group theory
From the pure mathematical perspective, the identity
is fundamental in two senses. First, the remaining three arithmetic properties can be derived from it. Furthermore, it expresses an isomorphism between the multiplicative group of the positive real numbers and the additive group of all the reals.
Logarithmic functions are the only continuous isomorphisms from the multiplicative group of positive real numbers to the additive group of real numbers.
Bases
The most widely used bases for logarithms are 10, the mathematical constant e ≈ 2.71828... and 2. When "log" is written without a base (b missing from logb), the intent can usually be determined from context:
- natural logarithm (log e, ln, log, or Ln) in mathematical analysis, statistics, economics and some engineering fields. The reasons to consider e the natural base for logarithms, though perhaps not obvious, are numerous and compelling.
- common logarithm (log10 or simply log; sometimes lg) in various engineering fields, especially for power levels and power ratios, such as acoustical sound pressure, and in logarithm tables to be used to simplify hand calculations
- binary logarithm (log2; sometimes lg, lb, or ld) in information theory and computer-related fields
- indefinite logarithm when the base is irrelevant, e.g. in complexity theory when describing the asymptotic behaviour of algorithms in big O notation.
To avoid confusion, it is best to specify the base if there is any chance of misinterpretation.
Other notations
The notation "ln(x)" invariably means loge(x), i.e., the natural logarithm of x, but the implied base for "log(x)" varies by discipline:
- Mathematicians generally understand both "ln(x)" and "log(x)" to mean loge(x) and write "log10(x)" when the base-10 logarithm of x is intended. Calculus textbooks will occasionally write "lg(x)" to represent "log10(x)".
- Many engineers, biologists, astronomers, and some others write only "ln(x)" or "loge(x)" when they mean the natural logarithm of x, and take "log(x)" to mean log10(x) or, sometimes in the context of computing, log2(x).
- On most calculators, the LOG button is log10(x) and LN is loge(x).
- In most commonly used computer programming languages, including C, C++, Java, Fortran, Ruby, and BASIC, the "log" function returns the natural logarithm. The base-10 function, if it is available, is generally "log10."
- Some people use Log(x) (capital L) to mean log10(x), and use log(x) with a lowercase l to mean loge(x).
- The notation Log(x) is also used by mathematicians to denote the principal branch of the (natural) logarithm function.
- A notation frequently used in some European countries is the notation blog(x) instead of logb(x).
This chaos, historically, originates from the fact that the natural logarithm has nice mathematical properties (such as its derivative being 1/x, and having a simple definition), while the base 10 logarithms, or decimal logarithms, were more convenient for speeding calculations (back when they were used for that purpose). Thus natural logarithms were only extensively used in fields like calculus while decimal logarithms were widely used elsewhere.
As recently as 1984, Paul Halmos in his "automathography" I Want to Be a Mathematician heaped contempt on what he considered the childish "ln" notation, which he said no mathematician had ever used. The notation was in fact invented in 1893 by Irving Stringham, professor of mathematics at Berkeley. As of 2005, many mathematicians have adopted the "ln" notation, but most use "log".
In computer science, the base 2 logarithm is sometimes written as lg(x), as suggested by Edward Reingold and popularized by Donald Knuth. However, lg(x) is also sometimes used for the common log, and lb(x) for the binary log. In Russian literature, the notation lg(x) is also generally used for the base 10 logarithm. In German, lg(x) also denotes the base 10 logarithm, while sometimes ld(x) or lb(x) is used for the base 2 logarithm.
The clear advice of the United States Department of Commerce National Institute of Standards and Technology is to follow the ISO standard Mathematical signs and symbols for use in physical sciences and technology, ISO 31-11:1992, which suggests these notations:
- The notation "ln(x)" means loge(x);
- The notation "lg(x)" means log10(x);
- The notation "lb(x)" means log2(x).
As the difference between logarithms to different bases is one of scale, it is possible to consider all logarithm functions to be the same, merely giving the answer in different units, such as dB, neper, bits or bytes; see the section Science and engineering below.
Change of base
While there are several useful identities, the most important for calculator use lets one find logarithms with bases other than those built into the calculator (usually loge and log10). To find a logarithm with base b, using any other base k:
Moreover, this result implies that all logarithm functions (whatever the base) are similar to each other. So to calculate the log with base 2 of the number 16 with a calculator:
Uses of logarithms
Logarithms are useful in solving equations in which exponents are unknown. They have simple derivatives, so they are often used in the solution of integrals. The logarithm is one of three closely related functions. In the equation bn = x, b can be determined with radicals, n with logarithms, and x with exponentials. See logarithmic identities for several rules governing the logarithm functions.
Science
Various quantities in science are expressed as logarithms of other quantities; see logarithmic scale for an explanation and a more complete list.
- In chemistry, the negative of the base-10 logarithm of the concentration of hydronium ions (H3O+, the form H+ takes in water) is the measure known as pH. The concentration of hydronium ions in neutral water is 10−7 mol/L at 25 °C, hence a pH of 7.
- The bel (symbol B) is a unit of measure which is the base-10 logarithm of ratios, such as power levels and voltage levels. It is mostly used in telecommunication, electronics, and acoustics. The Bel is named after telecommunications pioneer Alexander Graham Bell. The decibel (dB), equal to 0.1 bel, is more commonly used. The neper is a similar unit which uses the natural logarithm of a ratio.
- The Richter scale measures earthquake intensity on a base-10 logarithmic scale.
- In spectrometry and optics, the absorbance unit used to measure optical density is equivalent to −1 B.
- In astronomy, the apparent magnitude measures the brightness of stars logarithmically, since the eye also responds logarithmically to brightness.
- In psychophysics, the Weber–Fechner law proposes a logarithmic relationship between stimulus and sensation.
- In computer science, logarithms often appear in bounds for computational complexity. For example, to sort N items using comparison can require time proportional to the product N × log N. Similarly, base-2 logarithms are used to express the amount of storage space or memory required for a binary representation of a number—with k bits (each a 0 or a 1) one can represent 2k distinct values, so any natural number N can be represented in no more than (log2 N) + 1 bits.
- Similarly, in information theory logarithms are used as a measure of quantity of information. If a message recipient may expect any one of N possible messages with equal likelihood, then the amount of information conveyed by any one such message is quantified as log2 N bits.
- In geometry the logarithm is used to form the metric for the half-plane model of hyperbolic geometry.
- Many types of engineering and scientific data are typically graphed on log-log or semilog axes, in order to most clearly show the form of the data.
- In inferential statistics, the logarithm of the data in a dataset can be used for parametric statistical testing if the original data does not meet the assumption of normality.
- Musical intervals are measured logarithmically as semitones. The interval between two notes in semitones is the base-21/12 logarithm of the frequency ratio (or equivalently, 12 times the base-2 logarithm). Fractional semitones are used for non-equal temperaments. Especially to measure deviations from the equal tempered scale, intervals are also expressed in cents (hundredths of an equally-tempered semitone). The interval between two notes in cents is the base-21/1200 logarithm of the frequency ratio (or 1200 times the base-2 logarithm). In MIDI, notes are numbered on the semitone scale (logarithmic absolute nominal pitch with middle C at 60). For microtuning to other tuning systems, a logarithmic scale is defined filling in the ranges between the semitones of the equal tempered scale in a compatible way. This scale corresponds to the note numbers for whole semitones. (see microtuning in MIDI).
Exponential functions
One way of defining the exponential function ex, also written as exp(x), is as the inverse of the natural logarithm. It is positive for every real argument x.
The operation of "raising b to a power p" for positive arguments b and all real exponents p is defined by
The antilogarithm function is another name for the inverse of the logarithmic function. It is written antilogb(n) and means the same as bn.
Easier computations
Logarithms can be used to replace difficult operations on numbers by easier operations on their logs (in any base), as the following table summarizes. In the table, upper-case variables represent logs of corresponding lower-case variables:
| Operation with numbers | Operation with exponents | Logarithmic identity |
|---|---|---|
![]() |
![]() |
![]() |
![]() |
![]() |
![]() |
![]() |
![]() |
![]() |
![]() |
![]() |
![]() |
These arithmetic properties of logarithms make such calculations much faster. The use of logarithms was an essential skill until electronic computers and calculators became available. Indeed the discovery of logarithms, just before Newton's era, had an impact in the scientific world that can be compared with that of the advent of computers in the 20th century because it made feasible many calculations that had previously been too laborious.
As an example, to approximate the product of two numbers one can look up their logarithms in a table, add them, and, using the table again, proceed from that sum to its antilogarithm, which is the desired product. The precision of the approximation can be increased by interpolating between table entries. For manual calculations that demand any appreciable precision, this process, requiring three lookups and a sum, is much faster than performing the multiplication. To achieve seven decimal places of accuracy requires a table that fills a single large volume; a table for nine-decimal accuracy occupies a few shelves. Similarly, to approximate a power cd one can look up log c in the table, look up the log of that, and add to it the log of d; roots can be approximated in much the same way.
One key application of these techniques was celestial navigation. Once the invention of the chronometer made possible the accurate measurement of longitude at sea, mariners had everything necessary to reduce their navigational computations to mere additions. A five-digit table of logarithms and a table of the logarithms of trigonometric functions sufficed for most purposes, and those tables could fit in a small book. Another critical application with even broader impact was the slide rule, an essential calculating tool for engineers. Many of the powerful capabilities of the slide rule derive from a clever but simple design that relies on the arithmetic properties of logarithms. The slide rule allows computation much faster still than the techniques based on tables, but provides much less precision.
Calculus
The natural logarithm of a positive number x can be defined as
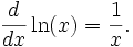
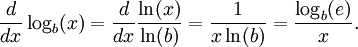
The derivative of the natural logarithm function is
By applying the change-of-base rule, the derivative for other bases is
The antiderivative of the natural logarithm ln(x) is
and so the antiderivative of the logarithm for other bases is
See also: Table of limits, list of integrals of logarithmic functions.
Series for calculating the natural logarithm
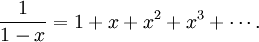
There are several series for calculating natural logarithms. The simplest, though inefficient, is:
when 
To derive this series, start with (
)
Integrate both sides to obtain
Letting
and thus
, we get
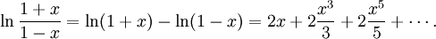
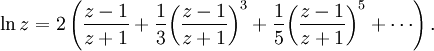
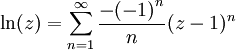
A more efficient series is
for z with positive real part.
To derive this series, we begin by substituting −x for x and get
Subtracting, we get
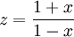
Letting
and thus
, we get
For example, applying this series to
we get
and thus
where we factored 1/10 out of the sum in the first line.
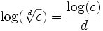
For any other base b, we use
Computers
Most computer languages use log(x) for the natural logarithm, while the common log is typically denoted log10(x). The argument and return values are typically a floating point (or double precision) data type.
As the argument is floating point, it can be useful to consider the following:
A floating point value x is represented by a mantissa m and exponent n to form
Therefore
Thus, instead of computing ln(x) we compute ln(m) for some m such that 1 ≤ m < 2. Having m in this range means that the value
is always in the range
. Some machines use the mantissa in the range
and in that case the value for u will be in the range
In either case, the series is even easier to compute.
To compute a base 2 logarithm on a number between 1 and 2 in an alternate way, square it repeatedly. Every time it goes over 2, divide it by 2 and write a "1" bit, else just write a "0" bit. This is because squaring doubles the logarithm of a number.
The integer part of the logarithm to base 2 of an unsigned integer is given by the position of the left-most bit, and can be computed in O(n) steps using the following algorithm:
int log2(int x){ int r = 0; while( (x >> r) != 0){ r++; } return r-1; // returns -1 for x==0, floor(log2(x)) otherwise }
However, it can also be computed in O(log n) steps by trying to shift by powers of 2 and checking that the result stays nonzero: for example, first >>16, then >>8, ... (Each step reveals one bit of the result)
Generalizations
The ordinary logarithm of positive reals generalizes to negative and complex arguments, though it is a multivalued function that needs a branch cut terminating at the branch point at 0 to make an ordinary function or principal branch. The logarithm (to base e) of a complex number z is the complex number ln(|z|) + i arg(z), where |z| is the modulus of z, arg(z) is the argument, and i is the imaginary unit; see complex logarithm for details.
The discrete logarithm is a related notion in the theory of finite groups. It involves solving the equation bn = x, where b and x are elements of the group, and n is an integer specifying a power in the group operation. For some finite groups, it is believed that the discrete logarithm is very hard to calculate, whereas discrete exponentials are quite easy. This asymmetry has applications in public key cryptography.
The logarithm of a matrix is the inverse of the matrix exponential.
It is possible to take the logarithm of a quaternions and octonions.
A double logarithm, ln(ln(x)), is the inverse function of the double exponential function. A super-logarithm or hyper-4-logarithm is the inverse function of tetration. The super-logarithm of x grows even more slowly than the double logarithm for large x.
For each positive b not equal to 1, the function logb (x) is an isomorphism from the group of positive real numbers under multiplication to the group of (all) real numbers under addition. They are the only such isomorphisms that are continuous. The logarithm function can be extended to a Haar measure in the topological group of positive real numbers under multiplication.
History
The method of logarithms was first publicly propounded in 1614, in a book entitled Mirifici Logarithmorum Canonis Descriptio, by John Napier, Baron of Merchiston in Scotland ( Joost Bürgi independently discovered logarithms; however, he did not publish his discovery until four years after Napier). This method contributed to the advance of science, and especially of astronomy, by making some difficult calculations possible. Prior to the advent of calculators and computers, it was used constantly in surveying, navigation, and other branches of practical mathematics. It supplanted the more involved method of prosthaphaeresis, which relied on trigonometric identities as a quick method of computing products. Besides the utility of the logarithm concept in computation, the natural logarithm presented a solution to the problem of quadrature of a hyperbolic sector at the hand of Gregoire de Saint-Vincent in 1647.
At first, Napier called logarithms "artificial numbers" and antilogarithms "natural numbers". Later, Napier formed the word logarithm to mean a number that indicates a ratio: λόγος ( logos) meaning proportion, and ἀριθμός (arithmos) meaning number. Napier chose that because the difference of two logarithms determines the ratio of the numbers they represent, so that an arithmetic series of logarithms corresponds to a geometric series of numbers. The term antilogarithm was introduced in the late 17th century and, while never used extensively in mathematics, persisted in collections of tables until they fell into disuse.
Napier did not use a base as we now understand it, but his logarithms were, up to a scaling factor, effectively to base 1/e. For interpolation purposes and ease of calculation, it is useful to make the ratio r in the geometric series close to 1. Napier chose r = 1 - 10−7 = 0.999999 (Bürgi chose r = 1 + 10−4 = 1.0001). Napier's original logarithms did not have log 1 = 0 but rather log 107 = 0. Thus if N is a number and L is its logarithm as calculated by Napier, N = 107(1 − 10−7)L. Since (1 − 10−7)107 is approximately 1/e, this makes L/107 approximately equal to log1/e N/107.
Tables of logarithms
Prior to the advent of computers and calculators, using logarithms meant using tables of logarithms, which had to be created manually. Base-10 logarithms are useful in computations when electronic means are not available. See common logarithm for details, including the use of characteristics and mantissas of common (i.e., base-10) logarithms.
In 1617, Henry Briggs published the first installment of his own table of common logarithms, containing the logarithms of all integers below 1000 to eight decimal places. This he followed, in 1624, by his Arithmetica Logarithmica, containing the logarithms of all integers from 1 to 20,000 and from 90,000 to 100,000 to fourteen places of decimals, together with a learned introduction, in which the theory and use of logarithms are fully developed. The interval from 20,000 to 90,000 was filled up by Adriaan Vlacq, a Dutch mathematician; but in his table, which appeared in 1628, the logarithms were given to only ten places of decimals.
Vlacq's table was later found to contain 603 errors, but "this cannot be regarded as a great number, when it is considered that the table was the result of an original calculation, and that more than 2,100,000 printed figures are liable to error." An edition of Vlacq's work, containing many corrections, was issued at Leipzig in 1794 under the title Thesaurus Logarithmorum Completus by Jurij Vega.
François Callet's seven-place table (Paris, 1795), instead of stopping at 100,000, gave the eight-place logarithms of the numbers between 100,000 and 108,000, in order to diminish the errors of interpolation, which were greatest in the early part of the table; and this addition was generally included in seven-place tables. The only important published extension of Vlacq's table was made by Mr. Sang in 1871, whose table contained the seven-place logarithms of all numbers below 200,000.
Briggs and Vlacq also published original tables of the logarithms of the trigonometric functions.
Besides the tables mentioned above, a great collection, called Tables du Cadastre, was constructed under the direction of Gaspard de Prony, by an original computation, under the auspices of the French republican government of the 1700s. This work, which contained the logarithms of all numbers up to 100,000 to nineteen places, and of the numbers between 100,000 and 200,000 to twenty-four places, exists only in manuscript, "in seventeen enormous folios," at the Observatory of Paris. It was begun in 1792; and "the whole of the calculations, which to secure greater accuracy were performed in duplicate, and the two manuscripts subsequently collated with care, were completed in the short space of two years." Cubic interpolation could be used to find the logarithm of any number to a similar accuracy.









![\ln(z) = \ln \left[ \left( x^2 + y^2 \right) ^{1/2} e^{i \tan^{-1}y/x}\right]](../../images/204/20486.png)
![= \ln \left[ \left( x^2 + y^2 \right) ^{1/2}\right] + \ln \left[ e^{i \tan^{-1}y/x}\right]](../../images/204/20487.png)














![\!\, \sqrt[d]{c}](../../images/205/20502.png)

![\!\, \log(\sqrt[d]{c}) = \frac{\log(c)}{d}](../../images/205/20504.png)























