Integral
2008/9 Schools Wikipedia Selection. Related subjects: Mathematics
- The word "integral" (adjective) can also mean: "being an integer".
Integration is a core concept of advanced mathematics, specifically in the fields of calculus and mathematical analysis. Given a function f(x) of a real variable x and an interval [a,b] of the real line, the integral
is equal to the area of a region in the xy-plane bounded by the graph of f, the x-axis, and the vertical lines x = a and x = b, with areas below the x-axis being subtracted.
The term "integral" may also refer to the notion of antiderivative, a function F whose derivative is the given function f. In this case it is called an indefinite integral, while the integrals discussed in this article are termed definite integrals. Some authors maintain a distinction between antiderivatives and indefinite integrals.
The principles of integration were formulated by Isaac Newton and Gottfried Leibniz in the late seventeenth century. Through the fundamental theorem of calculus, which they independently developed, integration is connected with differentiation, and the definite integral of a function can be easily computed once an antiderivative is known. Integrals and derivatives became the basic tools of calculus, with numerous applications in science and engineering.
A rigorous mathematical definition of the integral was given by Bernhard Riemann. It is based on a limiting procedure which approximates the area of a curvilinear region by breaking the region into thin vertical slabs. Beginning in the nineteenth century, more sophisticated notions of integral began to appear, where the type of the function as well as the domain over which the integration is performed has been generalised. A line integral is defined for functions of two or three variables, and the interval of integration [a,b] is replaced by a certain curve connecting two points on the plane or in the space. In a surface integral, the curve is replaced by a piece of a surface in the three-dimensional space. Integrals of differential forms play a fundamental role in modern differential geometry. These generalizations of integral first arose from the needs of physics, and they play an important role in the formulation of many physical laws, notably those of electrodynamics. Modern concepts of integration are based on the abstract mathematical theory known as Lebesgue integration, developed by Henri Lebesgue.
History
Pre-calculus integration
Integration can be traced as far back as ancient Egypt, circa 1800 BC, with the Moscow Mathematical Papyrus demonstrating knowledge of a formula for the volume of a pyramidal frustum. The first documented systematic technique capable of determining integrals is the method of exhaustion of Eudoxus (circa 370 BC), which sought to find areas and volumes by breaking them up into an infinite number of shapes for which the area or volume was known. This method was further developed and employed by Archimedes and used to calculate areas for parabolas and an approximation to the area of a circle. Similar methods were independently developed in China around the 3rd Century AD by Liu Hui, who used it to find the area of the circle. This method was later used by Zu Chongzhi to find the volume of a sphere. Some ideas of integral calculus are found in the Siddhanta Shiromani, a 12th century astronomy text by Indian mathematician Bhāskara II.
Significant advances on techniques such as the method of exhaustion did not begin to appear until the 16th century AD. At this time the work of Cavalieri with his method of indivisibles, and work by Fermat, began to lay the foundations of modern calculus. Further steps were made in the early 17th century by Barrow and Torricelli, who provided the first hints of a connection between integration and differentiation.
Newton and Leibniz
The major advance in integration came in the 17th century with the independent discovery of the fundamental theorem of calculus by Newton and Leibniz. The theorem demonstrates a connection between integration and differentiation. This connection, combined with the comparative ease of differentiation, can be exploited to calculate integrals. In particular, the fundamental theorem of calculus allows one to solve a much broader class of problems. Equal in importance is the comprehensive mathematical framework that both Newton and Leibniz developed. Given the name infinitesimal calculus, it allowed for precise analysis of functions within continuous domains. This framework eventually became modern Calculus, whose notation for integrals is drawn directly from the work of Leibniz.
Formalizing integrals
While Newton and Leibniz provided a systematic approach to integration, their work lacked a degree of rigor. Bishop Berkeley memorably attacked infinitesimals as "the ghosts of departed quantity". Calculus acquired a firmer footing with the development of limits and was given a suitable foundation by Cauchy in the first half of the 19th century. Integration was first rigorously formalized, using limits, by Riemann. Although all bounded piecewise continuous functions are Riemann integrable on a bounded interval, subsequently more general functions were considered, to which Riemann's definition does not apply, and Lebesgue formulated a different definition of integral, founded in measure theory. Other definitions of integral, extending Riemann's and Lebesgue's approaches, were proposed.
Notation
Isaac Newton used a small vertical bar above a variable to indicate integration, or placed the variable inside a box. The vertical bar was easily confused with
or
, which Newton used to indicate differentiation, and the box notation was difficult for printers to reproduce, so these notations were not widely adopted.
The modern notation for the indefinite integral was introduced by Gottfried Leibniz in 1675 (Burton 1988, p. 359; Leibniz 1899, p. 154). He adapted the integral symbol, "∫", from an elongated letter S, standing for summa (Latin for "sum" or "total"). The modern notation for the definite integral, with limits above and below the integral sign, was first used by Joseph Fourier in Mémoires of the French Academy around 1819–20, reprinted in his book of 1822 (Cajori 1929, pp. 249–250; Fourier 1822, §231). In Arabic mathematical notation which is written from right to left, an inverted integral symbol
is used (W3C 2006).
Terminology and notation
If a function has an integral, it is said to be integrable. The function for which the integral is calculated is called the integrand. The region over which a function is being integrated is called the domain of integration. If the integral does not have a domain of integration, it is considered indefinite (one with a domain is considered definite). In general, the integrand may be a function of more than one variable, and the domain of integration may be an area, volume, a higher dimensional region, or even an abstract space that does not have a geometric structure in any usual sense.
The simplest case, the integral of a real-valued function f of one real variable x on the interval [a, b], is denoted by
The ∫ sign, an elongated "S", represents integration; a and b are the lower limit and upper limit of integration, defining the domain of integration; f is the integrand, to be evaluated as x varies over the interval [a,b]; and dx can have different interpretations depending on the theory being used. For example, it can be seen as merely a notation indicating that x is the 'dummy variable' of integration, as a reflection of the weights in the Riemann sum, a measure (in Lebesgue integration and its extensions), an infinitesimal (in non-standard analysis) or as an independent mathematical quantity: a differential form. More complicated cases may vary the notation slightly.
Introduction
Integrals appear in many practical situations. Consider a swimming pool. If it is rectangular, then from its length, width, and depth we can easily determine the volume of water it can contain (to fill it), the area of its surface (to cover it), and the length of its edge (to rope it). But if it is oval with a rounded bottom, all of these quantities call for integrals. Practical approximations may suffice at first, but eventually we demand exact and rigorous answers to such problems.
To start off, consider the curve y = f(x) between x = 0 and x = 1, with f(x) = √x. We ask:
- What is the area under the function f, in the interval from 0 to 1?
and call this (yet unknown) area the integral of f. The notation for this integral will be
As a first approximation, look at the unit square given by the sides x = 0 to x = 1 and y = f(0) = 0 and y = f(1) = 1. Its area is exactly 1. As it is, the true value of the integral must be somewhat less. Decreasing the width of the approximation rectangles shall give a better result; so cross the interval in five steps, using the approximation points 0, 1⁄5, 2⁄5, and so on to 1. Fit a box for each step using the right end height of each curve piece, thus √1⁄5, √2⁄5, and so on to √1 = 1. Summing the areas of these rectangles, we get a better approximation for the sought integral, namely
Notice that we are taking a sum of finitely many function values of f, multiplied with the differences of two subsequent approximation points. We can easily see that the approximation is still too large. Using more steps produces a closer approximation, but will never be exact: replacing the 5 subintervals by twelve as depicted, we will get an approximate value for the area of 0.6203, which is too small. The key idea is the transition from adding finitely many differences of approximation points multiplied by their respective function values to using infinitely fine, or infinitesimal steps.
As for the actual calculation of integrals, the fundamental theorem of calculus, due to Newton and Leibniz, is the fundamental link between the operations of differentiating and integrating. Applied to the square root curve, f(x) = x1/2, it says to look at the related function F(x) = 2⁄3x3/2, and simply take F(1) − F(0), where 0 and 1 are the boundaries of the interval [0,1]. (This is a case of a general rule, that for f(x) = xq, with q ≠ −1, the related function, the so-called antiderivative is F(x) = (xq+1)/(q + 1).) So the exact value of the area under the curve is computed formally as
The notation
conceives the integral as a weighted sum, denoted by the elongated "S", with function values, f(x), multiplied by infinitesimal step widths, the so-called differentials, denoted by dx. The multiplication sign is usually omitted.
Historically, after the failure of early efforts to rigorously interpret infinitesimals, Riemann formally defined integrals as a limit of weighted sums, so that the dx suggested the limit of a difference (namely, the interval width). Shortcomings of Riemann's dependence on intervals and continuity motivated newer definitions, especially the Lebesgue integral, which is founded on an ability to extend the idea of "measure" in much more flexible ways. Thus the notation
refers to a weighted sum in which the function values are partitioned, with μ measuring the weight to be assigned to each value. Here A denotes the region of integration.
Differential geometry, with its "calculus on manifolds", gives the familiar notation yet another interpretation. Now f(x) and dx become a differential form, ω = f(x) dx, a new differential operator d, known as the exterior derivative appears, and the fundamental theorem becomes the more general Stokes' theorem,
from which Green's theorem, the divergence theorem, and the fundamental theorem of calculus follow.
More recently, infinitesimals have reappeared with rigor, through modern innovations such as non-standard analysis. Not only do these methods vindicate the intuitions of the pioneers, they also lead to new mathematics.
Although there are differences between these conceptions of integral, there is considerable overlap. Thus the area of the surface of the oval swimming pool can be handled as a geometric ellipse, as a sum of infinitesimals, as a Riemann integral, as a Lebesgue integral, or as a manifold with a differential form. The calculated result will be the same for all.
Formal definitions
There are many ways of formally defining an integral, not all of which are equivalent. The differences exist mostly to deal with differing special cases which may not be integrable under other definitions, but also occasionally for pedagogical reasons. The most commonly used definitions of integral are Riemann integrals and Lebesgue integrals.
Riemann integral
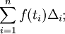
The Riemann integral is defined in terms of Riemann sums of functions with respect to tagged partitions of an interval. Let [a,b] be a closed interval of the real line; then a tagged partition of [a,b] is a finite sequence
This partitions the interval [a,b] into i sub-intervals [xi−1, xi], each of which is "tagged" with a distinguished point ti ∈ [xi−1, xi]. Let Δi = xi−xi−1 be the width of sub-interval i; then the mesh of such a tagged partition is the width of the largest sub-interval formed by the partition, maxi=1…n Δi. A Riemann sum of a function f with respect to such a tagged partition is defined as
thus each term of the sum is the area of a rectangle with height equal to the function value at the distinguished point of the given sub-interval, and width the same as the sub-interval width. The Riemann integral of a function f over the interval [a,b] is equal to S if:
- For all ε > 0 there exists δ > 0 such that, for any tagged partition [a,b] with mesh less than δ, we have
When the chosen tags give the maximum (respectively, minimum) value of each interval, the Riemann sum becomes an upper (respectively, lower) Darboux sum, suggesting the close connection between the Riemann integral and the Darboux integral.
Lebesgue integral
| Topics in calculus |
|
Fundamental theorem |
| Differentiation |
|
Product rule |
| Integration |
|
Lists of integrals |
The Riemann integral is not defined for a wide range of functions and situations of importance in applications (and of interest in theory). For example, the Riemann integral can easily integrate density to find the mass of a steel beam, but cannot accommodate a steel ball resting on it. This motivates other definitions, under which a broader assortment of functions is integrable (Rudin 1987). The Lebesgue integral, in particular, achieves great flexibility by directing attention to the weights in the weighted sum.
The definition of the Lebesgue integral thus begins with a measure, μ. In the simplest case, the Lebesgue measure μ(A) of an interval A = [a,b] is its width, b − a, so that the Lebesgue integral agrees with the (proper) Riemann integral when both exist. In more complicated cases, the sets being measured can be highly fragmented, with no continuity and no resemblance to intervals.
To exploit this flexibility, Lebesgue integrals reverse the approach to the weighted sum. As Folland (1984, p. 56) puts it, "To compute the Riemann integral of f, one partitions the domain [a,b] into subintervals", while in the Lebesgue integral, "one is in effect partitioning the range of f".
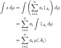
One common approach first defines the integral of the indicator function of a measurable set A by:
.
This extends by linearity to a measurable simple function s, which attains only a finite number, n, of distinct non-negative values:
(where the image of Ai under the simple function s is the constant value ai). Thus if E is a measurable set one defines
Then for any non-negative measurable function f one defines
that is, the integral of f is set to be the supremum of all the integrals of simple functions that are less than or equal to f. A general measurable function f, is split into its positive and negative values by defining
Finally, f is Lebesgue integrable if
and then the integral is defined by
When the measure space on which the functions are defined is also a locally compact topological space (as is the case with the real numbers R), measures compatible with the topology in a suitable sense ( Radon measures, of which the Lebesgue measure is an example) and integral with respect to them can be defined differently, starting from the integrals of continuous functions with compact support. More precisely, the compactly supported functions form a vector space that carries a natural topology, and a (Radon) measure can be defined as any continuous linear functional on this space; the value of a measure at a compactly supported function is then also by definition the integral of the function. One then proceeds to expand the measure (the integral) to more general functions by continuity, and defines the measure of a set as the integral of its indicator function. This is the approach taken by Bourbaki (2004) and a certain number of other authors. For details see Radon measures.
Other integrals
Although the Riemann and Lebesgue integrals are the most important definitions of the integral, a number of others exist, including:
- The Riemann-Stieltjes integral, an extension of the Riemann integral.
- The Lebesgue-Stieltjes integral, further developed by Johann Radon, which generalizes the Riemann-Stieltjes and Lebesgue integrals.
- The Daniell integral, which subsumes the Lebesgue integral and Lebesgue-Stieltjes integral without the dependence on measures.
- The Henstock-Kurzweil integral, variously defined by Arnaud Denjoy, Oskar Perron, and (most elegantly, as the gauge integral) Jaroslav Kurzweil, and developed by Ralph Henstock.
Properties of integration
Linearity
- The collection of Riemann integrable functions on a closed interval [a, b] forms a vector space under the operations of pointwise addition and multiplication by a scalar, and the operation of integration
-
- is a linear functional on this vector space. Thus, firstly, the collection of integrable functions is closed under taking linear combinations; and, secondly, the integral of a linear combination is the linear combination of the integrals,
- Similarly, the set of real-valued Lebesgue integrable functions on a given measure space E with measure μ is closed under taking linear combinations and hence form a vector space, and the Lebesgue integral
- is a linear functional on this vector space, so that
- More generally, consider the vector space of all measurable functions on a measure space (E,μ), taking values in a locally compact complete topological vector space V over a locally compact topological field K, f : E → V. Then one may define an abstract integration map assigning to each function f an element of V or the symbol ∞,
-
- that is compatible with linear combinations. In this situation the linearity holds for the subspace of functions whose integral is an element of V (i.e. "finite"). The most important special cases arise when K is R, C, or a finite extension of the field Qp of p-adic numbers, and V is a finite-dimensional vector space over K, and when K=C and V is a complex Hilbert space.
Linearity, together with some natural continuity properties and normalisation for a certain class of "simple" functions, may be used to give an alternative definition of the integral. This is the approach of Daniell for the case of real-valued functions on a set X, generalized by Nicolas Bourbaki to functions with values in a locally compact topological vector space. See (Hildebrandt 1953) for an axiomatic characterisation of the integral.
Inequalities for integrals
A number of general inequalities hold for Riemann-integrable functions defined on a closed and bounded interval [a, b] and can be generalized to other notions of integral (Lebesgue and Daniell).
- Upper and lower bounds. An integrable function f on [a, b], is necessarily bounded on that interval. Thus there are real numbers m and M so that m ≤ f (x) ≤ M for all x in [a, b]. Since the lower and upper sums of f over [a, b] are therefore bounded by, respectively, m(b − a) and M(b − a), it follows that
- Inequalities between functions. If f(x) ≤ g(x) for each x in [a, b] then each of the upper and lower sums of f is bounded above by the upper and lower sums, respectively, of g. Thus
-
- This is a generalization of the above inequalities, as M(b − a) is the integral of the constant function with value M over [a, b].
- Subintervals. If [c, d] is a subinterval of [a, b] and f(x) is non-negative for all x, then
- Products and absolute values of functions. If f and g are two functions then we may consider their pointwise products and powers, and absolute values:
-
- If f is Riemann-integrable on [a, b] then the same is true for |f|, and
- Moreover, if f and g are both Riemann-integrable then f 2, g 2, and fg are also Riemann-integrable, and
- This inequality, known as the Cauchy–Schwarz inequality, plays a prominent role in Hilbert space theory, where the left hand side is interpreted as the inner product of two square-integrable functions f and g on the interval [a, b].
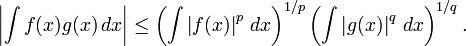
- Hölder's inequality. Suppose that p and q are two real numbers, 1 ≤ p, q ≤ ∞ with 1/p + 1/q = 1, and f and g are two Riemann-integrable functions. Then the functions |f|p and |g|q are also integrable and the following Hölder's inequality holds:

- For p = q = 2, Hölder's inequality becomes the Cauchy–Schwarz inequality.
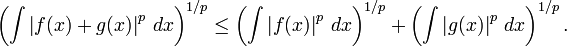
- Minkowski inequality. Suppose that p ≥ 1 is a real number and f and g are Riemann-integrable functions. Then |f|p, |g|p and |f + g|p are also Riemann integrable and the following Minkowski inequality holds:

- An analogue of this inequality for Lebesgue integral is used in construction of Lp spaces.
Conventions
In this section f is a real-valued Riemann-integrable function. The integral
over an interval [a, b] is defined if a < b. This means that the upper and lower sums of the function f are evaluated on a partition a = x0 ≤ x1 ≤ . . . ≤ xn = b whose values xi are increasing. Geometrically, this signifies that integration takes place "left to right", evaluating f within intervals [x i , x i +1] where an interval with a higher index lies to the right of one with a lower index. The values a and b, the end-points of the interval, are called the limits of integration of f. Integrals can also be defined if a > b:
- Reversing limits of integration. If a > b then define
This, with a = b, implies:
- Integrals over intervals of length zero. If a is a real number then
The first convention is necessary in consideration of taking integrals over subintervals of [a, b]; the second says that an integral taken over a degenerate interval, or a point, should be zero. One reason for the first convention is that the integrability of f on an interval [a, b] implies that f is integrable on any subinterval [c, d], but in particular integrals have the property that:
- Additivity of integration on intervals. If c is any element of [a, b], then
With the first convention the resulting relation
is then well-defined for any cyclic permutation of a, b, and c.
Instead of viewing the above as conventions, one can also adopt the point of view that integration is performed on oriented manifolds only. If M is such an oriented m-dimensional manifold, and M' is the same manifold with opposed orientation and ω is an m-form, then one has (see below for integration of differential forms):
Fundamental theorem of calculus
The fundamental theorem of calculus is the statement that differentiation and integration are inverse operations: if a continuous function is first integrated and then differentiated, the original function is retrieved. An important consequence, sometimes called the second fundamental theorem of calculus, allows one to compute integrals by using an antiderivative of the function to be integrated.
Statements of theorems
- Fundamental theorem of calculus. Let f be a real-valued integrable function defined on a closed interval [a, b]. If F is defined for x in [a, b] by
-
- then F is continuous on [a, b]. If f is continuous at x in [a, b], then F is differentiable at x, and F ′(x) = f(x).
- Second fundamental theorem of calculus. Let f be a real-valued integrable function defined on a closed interval [a, b]. If F is a function such that F ′(x) = f(x) for all x in [a, b] (that is, F is an antiderivative of f), then
- Corollary. If f is a continuous function on [a, b], then f is integrable on [a, b], and F, defined by
-
- is an anti-derivative of f on [a, b]. Moreover,
Extensions
Improper integrals
A "proper" Riemann integral assumes the integrand is defined and finite on a closed and bounded interval, bracketed by the limits of integration. An improper integral occurs when one or more of these conditions is not satisfied. In some cases such integrals may be defined by considering the limit of a sequence of proper Riemann integrals on progressively larger intervals.
If the interval is unbounded, for instance at its upper end, then the improper integral is the limit as that endpoint goes to infinity.
If the integrand is only defined or finite on a half-open interval, for instance (a,b], then again a limit may provide a finite result.
That is, the improper integral is the limit of proper integrals as one endpoint of the interval of integration approaches either a specified real number, or ∞, or −∞. In more complicated cases, limits are required at both endpoints, or at interior points.
Consider, for example, the function
integrated from 0 to ∞ (shown right). At the lower bound, as x goes to 0 the function goes to ∞, and the upper bound is itself ∞, though the function goes to 0. Thus this is a doubly improper integral. Integrated, say, from 1 to 3, an ordinary Riemann sum suffices to produce a result of
. To integrate from 1 to ∞, a Riemann sum is not possible. However, any finite upper bound, say t (with t > 1), gives a well-defined result,
. This has a finite limit as t goes to infinity, namely
. Similarly, the integral from 1⁄3 to 1 allows a Riemann sum as well, coincidentally again producing
. Replacing 1⁄3 by an arbitrary positive value s (with s < 1) is equally safe, giving
. This, too, has a finite limit as s goes to zero, namely
. Combining the limits of the two fragments, the result of this improper integral is
This process is not guaranteed success; a limit may fail to exist, or may be unbounded. For example, over the bounded interval 0 to 1 the integral of
does not converge; and over the unbounded interval 1 to ∞ the integral of
does not converge.
It may also happen that an integrand is unbounded at an interior point, in which case the integral must be split at that point, and the limit integrals on both sides must exist and must be bounded. Thus
But the similar integral
cannot be assigned a value in this way, as the integrals above and below zero do not independently converge. (However, see Cauchy principal value.)
Multiple integration
Integrals can be taken over regions other than intervals. In general, an integral over a set E of a function f is written:
Here x need not be a real number, but can be another suitable quantity, for instance, a vector in R3. Fubini's theorem shows that such integrals can be rewritten as an iterated integral. In other words, the integral can be calculated by integrating one coordinate at a time.
Just as the definite integral of a positive function of one variable represents the area of the region between the graph of the function and the x-axis, the double integral of a positive function of two variables represents the volume of the region between the surface defined by the function and the plane which contains its domain. (The same volume can be obtained via the triple integral — the integral of a function in three variables — of the constant function f(x, y, z) = 1 over the above-mentioned region between the surface and the plane.) If the number of variables is higher, then the integral represents a hypervolume, a volume of a solid of more than three dimensions that cannot be graphed.
For example, the volume of the parallelepiped of sides 4 × 6 × 5 may be obtained in two ways:
- By the double integral
-
- of the function f(x, y) = 5 calculated in the region D in the xy-plane which is the base of the parallelepiped.
- By the triple integral
-
- of the constant function 1 calculated on the parallelepiped itself.
Because it is impossible to calculate the antiderivative of a function of more than one variable, indefinite multiple integrals do not exist, so such integrals are all definite.
Line integrals
The concept of an integral can be extended to more general domains of integration, such as curved lines and surfaces. Such integrals are known as line integrals and surface integrals respectively. These have important applications in physics, as when dealing with vector fields.
A line integral (sometimes called a path integral) is an integral where the function to be integrated is evaluated along a curve. Various different line integrals are in use. In the case of a closed curve it is also called a contour integral.
The function to be integrated may be a scalar field or a vector field. The value of the line integral is the sum of values of the field at all points on the curve, weighted by some scalar function on the curve (commonly arc length or, for a vector field, the scalar product of the vector field with a differential vector in the curve). This weighting distinguishes the line integral from simpler integrals defined on intervals. Many simple formulas in physics have natural continuous analogs in terms of line integrals; for example, the fact that work is equal to force multiplied by distance may be expressed (in terms of vector quantities) as:
;
which is paralleled by the line integral:
;
which sums up vector components along a continuous path, and thus finds the work done on an object moving through a field, such as an electric or gravitational field
Surface integrals
A surface integral is a definite integral taken over a surface (which may be a curved set in space); it can be thought of as the double integral analog of the line integral. The function to be integrated may be a scalar field or a vector field. The value of the surface integral is the sum of the field at all points on the surface. This can be achieved by splitting the surface into surface elements, which provide the partitioning for Riemann sums.
For an example of applications of surface integrals, consider a vector field v on a surface S; that is, for each point x in S, v(x) is a vector. Imagine that we have a fluid flowing through S, such that v(x) determines the velocity of the fluid at x. The flux is defined as the quantity of fluid flowing through S in unit amount of time. To find the flux, we need to take the dot product of v with the unit surface normal to S at each point, which will give us a scalar field, which we integrate over the surface:
.
The fluid flux in this example may be from a physical fluid such as water or air, or from electrical or magnetic flux. Thus surface integrals have applications in physics, particularly with the classical theory of electromagnetism.
Integrals of differential forms
A differential form is a mathematical concept in the fields of multivariable calculus, differential topology and tensors. The modern notation for the differential form, as well as the idea of the differential forms as being the wedge products of exterior derivatives forming an exterior algebra, was introduced by Élie Cartan.
We initially work in an open set in Rn. A 0-form is defined to be a smooth function f. When we integrate a function f over an m- dimensional subspace S of Rn, we write it as
(The superscripts are indices, not exponents.) We can consider dx1 through dxn to be formal objects themselves, rather than tags appended to make integrals look like Riemann sums. Alternatively, we can view them as covectors, and thus a measure of "density" (hence integrable in a general sense). We call the dx1, …,dxn basic 1-forms.
We define the wedge product, "∧", a bilinear "multiplication" operator on these elements, with the alternating property that
for all indices a. Note that alternation along with linearity implies dxb∧dxa = −dxa∧dxb. This also ensures that the result of the wedge product has an orientation.
We define the set of all these products to be basic 2-forms, and similarly we define the set of products of the form dxa∧dxb∧dxc to be basic 3-forms. A general k-form is then a weighted sum of basic k-forms, where the weights are the smooth functions f. Together these form a vector space with basic k-forms as the basis vectors, and 0-forms (smooth functions) as the field of scalars. The wedge product then extends to k-forms in the natural way. Over Rn at most n covectors can be linearly independent, thus a k-form with k > n will always be zero, by the alternating property.
In addition to the wedge product, there is also the exterior derivative operator d. This operator maps k-forms to (k+1)-forms. For a k-form ω = f dxa over Rn, we define the action of d by:
with extension to general k-forms occurring linearly.
This more general approach allows for a more natural coordinate-free approach to integration on manifolds. It also allows for a natural generalisation of the fundamental theorem of calculus, called Stokes' theorem, which we may state as
where ω is a general k-form, and ∂Ω denotes the boundary of the region Ω. Thus in the case that ω is a 0-form and Ω is a closed interval of the real line, this reduces to the fundamental theorem of calculus. In the case that ω is a 1-form and Ω is a 2-dimensional region in the plane, the theorem reduces to Green's theorem. Similarly, using 2-forms, and 3-forms and Hodge duality, we can arrive at Stokes' theorem and the divergence theorem. In this way we can see that differential forms provide a powerful unifying view of integration.
Methods and applications
Computing integrals
The most basic technique for computing integrals of one real variable is based on the fundamental theorem of calculus. It proceeds like this:
- Choose a function f(x) and an interval [a, b].
- Find an antiderivative of f, that is, a function F such that F' = f.
- By the fundamental theorem of calculus, provided the integrand and integral have no singularities on the path of integration,
- Therefore the value of the integral is F(b) − F(a).
Note that the integral is not actually the antiderivative, but the fundamental theorem allows us to use antiderivatives to evaluate definite integrals.
The difficult step is often finding an antiderivative of f. It is rarely possible to glance at a function and write down its antiderivative. More often, it is necessary to use one of the many techniques that have been developed to evaluate integrals. Most of these techniques rewrite one integral as a different one which is hopefully more tractable. Techniques include:
- Integration by substitution
- Integration by parts
- Integration by trigonometric substitution
- Integration by partial fractions
- Integration by reduction formulae
Even if these techniques fail, it may still be possible to evaluate a given integral. The next most common technique is residue calculus, whilst for nonelementary integrals Taylor series can sometimes be used to find the antiderivative. There are also many less common ways of calculating definite integrals; for instance, Parseval's identity can be used to transform an integral over a rectangular region into an infinite sum. Occasionally, an integral can be evaluated by a trick; for an example of this, see Gaussian integral.
Computations of volumes of solids of revolution can usually be done with disk integration or shell integration.
Specific results which have been worked out by various techniques are collected in the list of integrals.
Symbolic algorithms
Many problems in mathematics, physics, and engineering involve integration where an explicit formula for the integral is desired. Extensive tables of integrals have been compiled and published over the years for this purpose. With the spread of computers, many professionals, educators, and students have turned to computer algebra systems that are specifically designed to perform difficult or tedious tasks, including integration. Symbolic integration presents a special challenge in the development of such systems.
A major mathematical difficulty in symbolic integration is that in many cases, a closed formula for the antiderivative of a rather innocently looking function simply does not exist. For instance, it is known that the antiderivatives of the functions exp ( x2), xx and sin x /x cannot be expressed in the closed form involving only rational and exponential functions, logarithm, trigonometric and inverse trigonometric functions, and the operations of multiplication and composition; in other words, none of the three given functions is integrable in elementary functions. Differential Galois theory provides general criteria that allow one to determine whether the antiderivative of an elementary function is elementary. Unfortunately, it turns out that functions with closed expressions of antiderivatives are the exception rather than the rule. Consequently, computerized algebra systems have no hope of being able to find an antiderivative for a randomly constructed elementary function. On the positive side, if the 'building blocks' for antiderivatives are fixed in advance, it may be still be possible to decide whether the antiderivative of a given function can be expressed using these blocks and operations of multiplication and composition, and to find the symbolic answer whenever it exists. The Risch algorithm, implemented in Mathematica and the Maple computer algebra systems, does just that for functions and antiderivatives built from rational functions, radicals, logarithm, and exponential functions.
Some special integrands occur often enough to warrant special study. In particular, it may be useful to have, in the set of antiderivatives, the special functions of physics (like the Legendre functions, the hypergeometric function, the Gamma function and so on). Extending the Risch-Norman algorithm so that it includes these functions is possible but challenging.
Most humans are not able to integrate such general formulae, so in a sense computers are more skilled at integrating highly complicated formulae. Very complex formulae are unlikely to have closed-form antiderivatives, so how much of an advantage does this present is a philosophical question that is open for debate.
Numerical quadrature
The integrals encountered in a basic calculus course are deliberately chosen for simplicity; those found in real applications are not always so accommodating. Some integrals cannot be found exactly, some require special functions which themselves are a challenge to compute, and others are so complex that finding the exact answer is too slow. This motivates the study and application of numerical methods for approximating integrals, which today use floating point arithmetic on digital electronic computers. Many of the ideas arose much earlier, for hand calculations; but the speed of general-purpose computers like the ENIAC created a need for improvements.
The goals of numerical integration are accuracy, reliability, efficiency, and generality. Sophisticated methods can vastly outperform a naive method by all four measures (Dahlquist & Björck forthcoming; Kahaner, Moler & Nash 1989; Stoer & Bulirsch 2002). Consider, for example, the integral
which has the exact answer 94⁄25 = 3.76. (In ordinary practice the answer is not known in advance, so an important task — not explored here — is to decide when an approximation is good enough.) A “calculus book” approach divides the integration range into, say, 16 equal pieces, and computes function values.
-
Spaced function values x −2.00 −1.50 −1.00 −0.50 0.00 0.50 1.00 1.50 2.00 f(x) 2.22800 2.45663 2.67200 2.32475 0.64400 −0.92575 −0.94000 −0.16963 0.83600 x −1.75 −1.25 −0.75 −0.25 0.25 0.75 1.25 1.75 f(x) 2.33041 2.58562 2.62934 1.64019 −0.32444 −1.09159 −0.60387 0.31734
Using the left end of each piece, the rectangle method sums 16 function values and multiplies by the step width, h, here 0.25, to get an approximate value of 3.94325 for the integral. The accuracy is not impressive, but calculus formally uses pieces of infinitesimal width, so initially this may seem little cause for concern. Indeed, repeatedly doubling the number of steps eventually produces an approximation of 3.76001. However 218 pieces are required, a great computational expense for so little accuracy; and a reach for greater accuracy can force steps so small that arithmetic precision becomes an obstacle.
A better approach replaces the horizontal tops of the rectangles with slanted tops touching the function at the ends of each piece. This trapezium rule is almost as easy to calculate; it sums all 17 function values, but weights the first and last by one half, and again multiplies by the step width. This immediately improves the approximation to 3.76925, which is noticeably more accurate. Furthermore, only 210 pieces are needed to achieve 3.76000, substantially less computation than the rectangle method for comparable accuracy.
Romberg's method builds on the trapezoid method to great effect. First, the step lengths are halved incrementally, giving trapezoid approximations denoted by T(h0), T(h1), and so on, where hk+1 is half of hk. For each new step size, only half the new function values need to be computed; the others carry over from the previous size (as shown in the table above). But the really powerful idea is to interpolate a polynomial through the approximations, and extrapolate to T(0). With this method a numerically exact answer here requires only four pieces (five function values)! The Lagrange polynomial interpolating {hk,T(hk)}k=0…2 = {(4.00,6.128), (2.00,4.352), (1.00,3.908)} is 3.76+0.148h2, producing the extrapolated value 3.76 at h = 0.
Gaussian quadrature often requires noticeably less work for superior accuracy. In this example, it can compute the function values at just two x positions, ±2⁄√3, then double each value and sum to get the numerically exact answer. The explanation for this dramatic success lies in error analysis, and a little luck. An n-point Gaussian method is exact for polynomials of degree up to 2n−1. The function in this example is a degree 3 polynomial, plus a term that cancels because the chosen endpoints are symmetric around zero. (Cancellation also benefits the Romberg method.)
Shifting the range left a little, so the integral is from −2.25 to 1.75, removes the symmetry. Nevertheless, the trapezoid method is rather slow, the polynomial interpolation method of Romberg is acceptable, and the Gaussian method requires the least work — if the number of points is known in advance. As well, rational interpolation can use the same trapezoid evaluations as the Romberg method to greater effect.
-
Quadrature method cost comparison Method Trapezoid Romberg Rational Gauss Points 1048577 257 129 36 Rel. Err. −5.3×10−13 −6.3×10−15 8.8×10−15 3.1×10−15 Value 
In practice, each method must use extra evaluations to ensure an error bound on an unknown function; this tends to offset some of the advantage of the pure Gaussian method, and motivates the popular Gauss–Kronrod hybrid. Symmetry can still be exploited by splitting this integral into two ranges, from −2.25 to −1.75 (no symmetry), and from −1.75 to 1.75 (symmetry). More broadly, adaptive quadrature partitions a range into pieces based on function properties, so that data points are concentrated where they are needed most.
This brief introduction omits higher-dimensional integrals (for example, area and volume calculations), where alternatives such as Monte Carlo integration have great importance.
A calculus text is no substitute for numerical analysis, but the reverse is also true. Even the best adaptive numerical code sometimes requires a user to help with the more demanding integrals. For example, improper integrals may require a change of variable or methods that can avoid infinite function values; and known properties like symmetry and periodicity may provide critical leverage.













































![\begin{align}
\int_{-1}^{1} \frac{dx}{\sqrt[3]{x^2}} &{} = \lim_{s \to 0} \int_{-1}^{-s} \frac{dx}{\sqrt[3]{x^2}}
+ \lim_{t \to 0} \int_{t}^{1} \frac{dx}{\sqrt[3]{x^2}} \\
&{} = \lim_{s \to 0} 3(1-\sqrt[3]{s}) + \lim_{t \to 0} 3(1-\sqrt[3]{t}) \\
&{} = 3 + 3 \\
&{} = 6.
\end{align}](../../images/214/21482.png)













