Calculus
2008/9 Schools Wikipedia Selection. Related subjects: Mathematics
| Topics in calculus |
|
Fundamental theorem |
| Differentiation |
|
Product rule |
| Integration |
|
Lists of integrals |
Calculus (Latin, calculus, a small stone used for counting) is a branch of mathematics that includes the study of limits, derivatives, integrals, and infinite series, and constitutes a major part of modern university education. Historically, it was sometimes referred to as "the calculus", but that usage is seldom seen today. Calculus has widespread applications in science and engineering and is used to solve complicated problems for which algebra alone is insufficient. Calculus builds on algebra, trigonometry, and analytic geometry and includes two major branches, differential calculus and integral calculus, that are related by the fundamental theorem of calculus. In more advanced mathematics, calculus is usually called analysis and is defined as the study of functions.
More generally, calculus can refer to any method or system of calculation.
History

Development
The history of calculus falls into several distinct time periods, most notably the ancient, medieval, and modern periods. The ancient period introduced some of the ideas of integral calculus, but does not seem to have developed these ideas in a rigorous or systematic way. Calculating volumes and areas, the basic function of integral calculus, can be traced back to the Egyptian Moscow papyrus (c. 1800 BC), in which an Egyptian successfully calculated the volume of a pyramidal frustum. From the school of Greek mathematics, Eudoxus (c. 408−355 BC) used the method of exhaustion, which prefigures the concept of the limit, to calculate areas and volumes while Archimedes (c. 287−212 BC) developed this idea further, inventing heuristics which resemble integral calculus. The method of exhaustion was later used in China by Liu Hui in the 3rd century AD in order to find the area of a circle. It was also used by Zu Chongzhi in the 5th century AD, who used it to find the volume of a sphere.
In AD 499 the Indian mathematician Aryabhata used the notion of infinitesimals and expressed an astronomical problem in the form of a basic differential equation. This equation eventually led Bhāskara II in the 12th century to develop an early derivative representing infinitesimal change, and he described an early form of " Rolle's theorem". Around AD 1000, the Islamic mathematician Ibn al-Haytham (Alhazen) was the first to derive the formula for the sum of the fourth powers, and using mathematical induction, he developed a method that is readily generalizable to finding the formula for the sum of any integral powers, which was fundamental to the development of integral calculus. In the 12th century, the Persian mathematician Sharaf al-Din al-Tusi discovered the derivative of cubic polynomials, an important result in differential calculus. In the 14th century, Madhava of Sangamagrama, along with other mathematician-astronomers of the Kerala school of astronomy and mathematics, described special cases of Taylor series, which are treated in the text Yuktibhasa.
In the modern period, independent discoveries in calculus were being made in early 17th century Japan, by mathematicians such as Seki Kowa, who expanded upon the method of exhaustion. In Europe, the second half of the 17th century was a time of major innovation. Calculus provided a new opportunity in mathematical physics to solve long-standing problems. Several mathematicians contributed to these breakthroughs, notably John Wallis and Isaac Barrow. James Gregory proved a special case of the second fundamental theorem of calculus in AD 1668.

Leibniz and Newton pulled these ideas together into a coherent whole and they are usually credited with the independent and nearly simultaneous invention of calculus. Newton was the first to apply calculus to general physics and Leibniz developed much of the notation used in calculus today; he often spent days determining appropriate symbols for concepts. The basic insight that both Newton and Leibniz had was the fundamental theorem of calculus.
When Newton and Leibniz first published their results, there was great controversy over which mathematician (and therefore which country) deserved credit. Newton derived his results first, but Leibniz published first. Newton claimed Leibniz stole ideas from his unpublished notes, which Newton had shared with a few members of the Royal Society. This controversy divided English-speaking mathematicians from continental mathematicians for many years, to the detriment of English mathematics. A careful examination of the papers of Leibniz and Newton shows that they arrived at their results independently, with Leibniz starting first with integration and Newton with differentiation. Today, both Newton and Leibniz are given credit for developing calculus independently. It is Leibniz, however, who gave the new discipline its name. Newton called his calculus " the science of fluxions".
Since the time of Leibniz and Newton, many mathematicians have contributed to the continuing development of calculus. In the 19th century, calculus was put on a much more rigorous footing by mathematicians such as Cauchy, Riemann, and Weierstrass. It was also during this period that the ideas of calculus were generalized to Euclidean space and the complex plane. Lebesgue further generalized the notion of the integral.
Calculus is a ubiquitous topic in most modern high schools and universities, and mathematicians around the world continue to contribute to its development.
Significance
While some of the ideas of calculus were developed earlier, in Greece, China, India, Iraq, Persia, and Japan, the modern use of calculus began in Europe, during the 17th century, when Isaac Newton and Gottfried Wilhelm Leibniz built on the work of earlier mathematicians to introduce the basic principles of calculus. This work had a strong impact on the development of physics.
Applications of differential calculus include computations involving velocity and acceleration, the slope of a curve, and optimization. Applications of integral calculus include computations involving area, volume, arc length, centre of mass, work, and pressure. More advanced applications include power series and Fourier series. Calculus can be used to compute the trajectory of a shuttle docking at a space station or the amount of snow in a driveway.
Calculus is also used to gain a more precise understanding of the nature of space, time, and motion. For centuries, mathematicians and philosophers wrestled with paradoxes involving division by zero or sums of infinitely many numbers. These questions arise in the study of motion and area. The ancient Greek philosopher Zeno gave several famous examples of such paradoxes. Calculus provides tools, especially the limit and the infinite series, which resolve the paradoxes.
Foundations
In mathematics, foundations refers to the rigorous development of a subject from precise axioms and definitions. Working out a rigorous foundation for calculus occupied mathematicians for much of the century following Newton and Leibniz and is still to some extent an active area of research today.
There is more than one rigorous approach to the foundation of calculus. The usual one is via the concept of limits defined on the continuum of real numbers. An alternative is nonstandard analysis, in which the real number system is augmented with infinitesimal and infinite numbers. The foundations of calculus are included in the field of real analysis, which contains full definitions and proofs of the theorems of calculus as well as generalizations such as measure theory and distribution theory.
Principles
Limits and Infinitesimals
Calculus is usually developed by manipulating very small quantities. Historically, the first method of doing so was by infinitesimals. These are objects which can be treated like numbers but which are, in some sense, "infinitely small". On a number line, these would be locations which are not zero, but which have zero distance from zero. No non-zero number is an infinitesimal, because its distance from zero is positive. Any multiple of an infinitesimal is still infinitely small, in other words, infinitesimals do not satisfy the Archimedean property. From this viewpoint, calculus is a collection of techniques for manipulating infinitesimals. This viewpoint fell out of favour in the 19th century because it is difficult to make the notion of an infinitesimal precise. However, the concept was revived in the 20th century with the introduction of non-standard analysis, which provided solid foundations for the manipulation of infinitesimals.
In the 19th century, infinitesimals were replaced by limits. Limits describe the value of a function at a certain input in terms of its values at nearby input. They capture small-scale behavior, just like infinitesimals, but using ordinary numbers. From this viewpoint, calculus is a collection of techniques for manipulating certain limits. Infinitesimals get replaced by very small numbers, and the infinitely small behavior of the function is found by taking the limiting behaviour for smaller and smaller numbers. Limits are easy to put on rigorous foundations, and for this reason they are the standard approach to calculus.
Derivatives
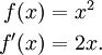
Differential calculus is the study of the definition, properties, and applications of the derivative or slope of a graph. The process of finding the derivative is called differentiation. In technical language, the derivative is a linear operator, which inputs a function and outputs a second function, so that at every point the value of the output is the slope of the input.
The concept of the derivative is fundamentally more advanced than the concepts encountered in algebra. In algebra, students learn about functions which input a number and output another number. For example, if the doubling function inputs 3, then it outputs 6, while if the squaring function inputs 3, it outputs 9. But the derivative inputs a function and outputs another function. For example, if the derivative inputs the squaring function, then it outputs the doubling function, because the doubling function gives the slope of the squaring function at any given point.
To understand the derivative, students must learn mathematical notation. In mathematical notation, one common symbol for the derivative of a function is an apostrophe-like mark called prime. Thus the derivative of f is f′ (spoken "f prime"). The last sentence of the preceding paragraph, in mathematical notation, would be written
If the input of a function is time, then the derivative of that function is the rate at which the function changes.
If a function is linear (that is, if the graph of the function is a straight line), then the function can be written y = mx + b, where:
.
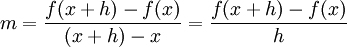
This gives an exact value for the slope of a straight line. If the function is not a straight line, however, then the change in y divided by the change in x varies, and we can use calculus to find an exact value at a given point. (Note that y and f(x) represent the same thing: the output of the function.) A line through two points on a curve is called a secant line. The slope, or rise over run, of a secant line can be expressed as
where the coordinates of the first point are (x, f(x)) and h is the horizontal distance between the two points.
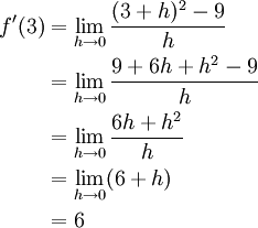
To determine the slope of the curve, we use the limit:
.
Working out one particular case, we find the slope of the squaring function at the point where the input is 3 and the output is 9 (i.e., f(x) = x2, so f(3) = 9).
The slope of the squaring function at the point (3, 9) is 6, that is to say, it is going up six times as fast as it is going to the right.
The limit process just described can be generalized to any point on the graph of any function. The procedure can be visualized as in the following figure.
Here the function involved (drawn in red) is f(x) = x3 − x. The tangent line (in green) which passes through the point (−3/2, −15/8) has a slope of 23/4. Note that the vertical and horizontal scales in this image are different.
Integrals
Integral calculus is the study of the definitions, properties, and applications of two related concepts, the indefinite integral and the definite integral. The process of finding the value of an integral is called integration. In technical language, integral calculus studies two related linear operators.
The indefinite integral is the antiderivative, the inverse operation to the derivative. F is an indefinite integral of f when f is a derivative of F. (This use of upper- and lower-case letters for a function and its indefinite integral is common in calculus.)
The definite integral inputs a function and outputs a number, which gives the area between the graph of the input and the x-axis. The technical definition of the definite integral is the limit of a sum of areas of rectangles, called a Riemann sum.
A motivating example is the distances traveled in a given time.
If the speed is constant, only multiplication is needed, but if the speed changes, then we need a more powerful method of finding the distance. One such method is to approximate the distance traveled by breaking up the time into many short intervals of time, then multiplying the time elapsed in each interval by one of the speeds in that interval, and then taking the sum (a Riemann sum) of the approximate distance traveled in each interval. The basic idea is that if only a short time elapses, then the speed will stay more or less the same. However, a Riemann sum only gives an approximation of the distance traveled. We must take the limit of all such Riemann sums to find the exact distance traveled.
If f(x) in the diagram on the left represents speed as it varies over time, the distance traveled between the times represented by a and b is the area of the shaded region s.
To approximate that area, an intuitive method would be to divide up the distance between a and b into a number of equal segments, the length of each segment represented by the symbol Δx. For each small segment, we can choose one value of the function f(x). Call that value h. Then the area of the rectangle with base Δx and height h gives the distance (time Δx multiplied by speed h) traveled in that segment. Associated with each segment is the average value of the function above it, f(x)=h. The sum of all such rectangles gives an approximation of the area between the axis and the curve, which is an approximation of the total distance traveled. A smaller value for Δx will give more rectangles and in most cases a better approximation, but for an exact answer we need to take a limit as Δx approaches zero.
The symbol of integration is
, an elongated S (which stands for "sum"). The definite integral is written as:
and is read "the integral from a to b of f-of-x with respect to x."
The indefinite integral, or antiderivative, is written:
.
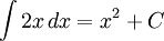
Functions differing by only a constant have the same derivative, and therefore the antiderivative of a given function is actually a family of functions differing only by a constant. Since the derivative of the function y = x² + C, where C is any constant, is y′ = 2x, the antiderivative of the latter is given by:
.
An undetermined constant like C in the antiderivative is known as a constant of integration.
Fundamental theorem
The fundamental theorem of calculus states that differentiation and integration are inverse operations. More precisely, it relates the values of antiderivatives to definite integrals. Because it is usually easier to compute an antiderivative than to apply the definition of a definite integral, the Fundamental Theorem of Calculus provides a practical way of computing definite integrals. It can also be interpreted as a precise statement of the fact that differentiation is the inverse of integration.
The Fundamental Theorem of Calculus states: If a function f is continuous on the interval [a, b] and if F is a function whose derivative is f on the interval (a, b), then
Furthermore, for every x in the interval (a, b),
This realization, made by both Newton and Leibniz, who based their results on earlier work by Isaac Barrow, was key to the massive proliferation of analytic results after their work became known. The fundamental theorem provides an algebraic method of computing many definite integrals—without performing limit processes—by finding formulas for antiderivatives. It is also a prototype solution of a differential equation. Differential equations relate an unknown function to its derivatives, and are ubiquitous in the sciences.
Applications
Calculus is used in every branch of the physical sciences, in computer science, statistics, engineering, economics, business, medicine, and in other fields wherever a problem can be mathematically modeled and an optimal solution is desired.
Physics makes particular use of calculus; all concepts in classical mechanics are interrelated through calculus. The mass of an object of known density, the moment of inertia of objects, as well as the total energy of an object within a conservative field can be found by the use of calculus. In the subfields of electricity and magnetism calculus can be used to find the total flux of electromagnetic fields. A more historical example of the use of calculus in physics is Newton's second law of motion, it expressly uses the term "rate of change" which refers to the derivative: The rate of change of momentum of a body is equal to the resultant force acting on the body and is in the same direction. Even the common expression of Newton's second law as Force = Mass × Acceleration involves differential calculus because acceleration can be expressed as the derivative of velocity. Maxwell's theory of electromagnetism and Einstein's theory of general relativity are also expressed in the language of differential calculus.
Calculus can be used in conjunction with other mathematical disciplines. For example, it can be used with linear algebra to find the "best fit" linear approximation for a set of points in a domain.
In the realm of medicine, calculus can be used to find the optimal branching angle of a blood vessel so as to maximize flow.
In analytic geometry, the study of graphs of functions, calculus is used to find high points and low points (maximums and minimums), slope, concavity and inflection points.
In economics, calculus allows for the determination of maximal profit by providing a way to easily calculate both marginal cost and marginal revenue.
Calculus can be used to find approximate solutions to equations, in methods such as Newton's method, fixed point iteration, and linear approximation. For instance, spacecraft use a variation of the Euler method to approximate curved courses within zero gravity environments.











