Taylor series
2008/9 Schools Wikipedia Selection. Related subjects: Mathematics

In mathematics, the Taylor series is a representation of a function as an infinite sum of terms calculated from the values of its derivatives at a single point. It may be regarded as the limit of the Taylor polynomials. Taylor series are named in honour of English mathematician Brook Taylor. If the series uses the derivatives at zero, the series is also called a Maclaurin series, named after Scottish mathematician Colin Maclaurin.
Definition
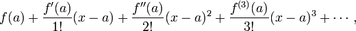
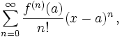
The Taylor series of a real or complex function f(x) that is infinitely differentiable in a neighbourhood of a real or complex number a, is the power series
which in a more compact form can be written as
where n! is the factorial of n and f (n)(a) denotes the nth derivative of f at the point a; the zeroth derivative of f is defined to be f itself and (x − a)0 and 0! are both defined to be 1.
Often f(x) is equal to its Taylor series evaluated at x for all x sufficiently close to a. This is the main reason why Taylor series are important.
In the particular case where a = 0, the series is also called a Maclaurin series.
Examples
The Maclaurin series for any polynomial is the polynomial itself.
The Maclaurin series for (1 − x) − 1 is the geometric series
so the Taylor series for x − 1 at a = 1 is
.
By integrating the above Maclaurin series we find the Maclaurin series for
, where
denotes the natural logarithm:
and the corresponding Taylor series for
at
is
.
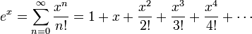
The Maclaurin series for the exponential function ex at a = 0 is
.
The above expansion holds because the derivative of ex is also ex and e0 equals 1. This leaves the terms (x − 0)n in the numerator and n! in the denominator for each term in the infinite sum.
Convergence
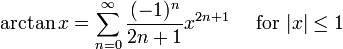
The Taylor series need not in general be a convergent series, but often it is. The limit of a convergent Taylor series need not in general be equal to the function value f(x), but often it is. If f(x) is equal to its Taylor series in a neighbourhood of a, it is said to be analytic in this neighbourhood. If f(x) is equal to its Taylor series everywhere it is called entire. The exponential function ex and the trigonometric functions sine and cosine are examples of entire functions. Examples of functions that are not entire include the logarithm, the trigonometric function tangent, and its inverse arctan. For these functions the Taylor series do not converge if x is far from a.
A Taylor series can be used to calculate the value of an entire function in every point, if the value of the function, and of all of its derivatives, are known at a single point. Uses of the Taylor series for entire functions include:
- The partial sums (the Taylor polynomials) of the series can be used as approximations of the entire function. These approximations are good if sufficiently many terms are included.
- The series representation simplifies many mathematical proofs.
Pictured on the right is an accurate approximation of sin(x) around the point a = 0. The pink curve is a polynomial of degree seven:
.
The error in this approximation is no more than
. In particular, for
, the error is less than 0.000003.
In contrast, also shown is a picture of the function log(1+x) and some of its Taylor polynomials around a = 0. These approximations converge to the function only in the region -1 < x ≤ 1; outside of this region the higher-degree Taylor polynomials are worse approximations for the function. This is an example of Runge's phenomenon.
Taylor's theorem gives a variety of general bounds on the size of the error in Rn(x) incurred in approximating a function by its nth order Taylor polynomial.
History
The Pythagorean philosopher Zeno considered the problem of summing an infinite series to achieve a finite result, but rejected it as an impossibility: the result was Zeno's paradox. Later, Aristotle proposed a philosophical resolution of the paradox, but the mathematical content was apparently unresolved until taken up by Democritus and then Archimedes. It was through Archimedes's method of exhaustion that an infinite number of progressive subdivisions could be performed to achieve a finite trigonometric result. Liu Hui independently employed a similar method several centuries later.
In the 14th century, the earliest examples of the use of Taylor series and closely-related methods were given by Madhava of Sangamagrama. Though no record of his work survives, writings of later Indian mathematicians suggest that he found a number of special cases of the Taylor series, including those for the trigonometric functions of sine, cosine, tangent, and arctangent. The Kerala school of astronomy and mathematics further expanded his works with various series expansions and rational approximations until the 16th century.
In the 17th century, James Gregory also worked in this area and published several Maclaurin series. It was not until 1715 however that a general method for constructing these series for all functions for which they exist was finally provided by Brook Taylor, after whom the series are now named.
The Maclaurin series was named after Colin Maclaurin, a professor in Edinburgh, who published the special case of the Taylor result in the 18th century.
Properties
If this series converges for every x in the interval (a − r, a + r) and the sum is equal to f(x), then the function f(x) is said to be analytic in the interval (a − r, a + r). If this is true for any r then the function is said to be an entire function. To check whether the series converges towards f(x), one normally uses estimates for the remainder term of Taylor's theorem. A function is analytic if and only if it can be represented as a power series; the coefficients in that power series are then necessarily the ones given in the above Taylor series formula.
The importance of such a power series representation is at least fourfold. First, differentiation and integration of power series can be performed term by term and is hence particularly easy. Second, an analytic function can be uniquely extended to a holomorphic function defined on an open disk in the complex plane, which makes the whole machinery of complex analysis available. Third, the (truncated) series can be used to compute function values approximately (often by recasting the polynomial into the Chebyshev form and evaluating it with the Clenshaw algorithm).
Fourth, algebraic operations can often be done much more readily on the power series representation; for instance the simplest proof of Euler's formula uses the Taylor series expansions for sine, cosine, and exponential functions. This result is of fundamental importance in such fields as harmonic analysis.
Note that there are examples of infinitely differentiable functions f(x) whose Taylor series converge, but are not equal to f(x). For instance, the function defined pointwise by f(x) = e−1/x² if x ≠ 0 and f(0) = 0 is an example of a non-analytic smooth function. All its derivatives at x = 0 are zero, so the Taylor series of f(x) at 0 is zero everywhere, even though the function is nonzero for every x ≠ 0. This particular pathology does not afflict Taylor series in complex analysis. There, the area of convergence of a Taylor series is always a disk in the complex plane (possibly with radius 0), and where the Taylor series converges, it converges to the function value. Notice that e−1/z² does not approach 0 as z approaches 0 along the imaginary axis, hence this function is not continuous as a function on the complex plane.
Since every sequence of real or complex numbers can appear as coefficients in the Taylor series of an infinitely differentiable function defined on the real line, the radius of convergence of a Taylor series can be zero. There are even infinitely differentiable functions defined on the real line whose Taylor series have a radius of convergence 0 everywhere.
Some functions cannot be written as Taylor series because they have a singularity; in these cases, one can often still achieve a series expansion if one allows also negative powers of the variable x; see Laurent series. For example,
can be written as a Laurent series.
The Parker-Sochacki method is a recent advance in finding Taylor series which are solutions to differential equations. This algorithm is an extension of the Picard iteration.
List of Taylor series of some common functions

Several important Maclaurin series expansions follow. All these expansions are valid for complex arguments
.
Finite geometric series:
Infinite geometric series:
Variants of the infinite geometric series:
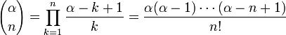
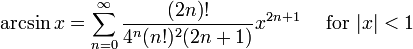
Binomial series (includes the square root for α = 1/2 and the infinite geometric series for α = −1):

- with generalized binomial coefficients

- with generalized binomial coefficients
-
- where the Bs are Bernoulli numbers.
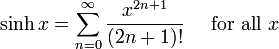
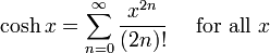
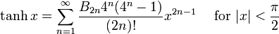
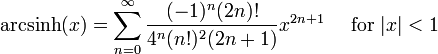
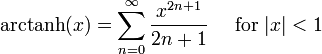
Hyperbolic functions:
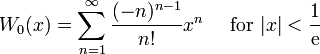
Lambert's W function:
The numbers
appearing in the summation expansions of tan(x) and tanh(x) are the Bernoulli numbers. The
in the expansion of sec(x) are Euler numbers.
Calculation of Taylor series
Several methods exist for the calculation of Taylor series of a large number of functions. One can attempt to use the Taylor series as-is and generalize the form of the coefficients, or one can use manipulations such as substitution, multiplication or division, addition or subtraction of standard Taylor series to construct the Taylor series of a function, by virtue of Taylor series being power series. In some cases, one can also derive the Taylor series by repeatedly applying integration by parts. Particularly convenient is the use of computer algebra systems to calculate Taylor series.
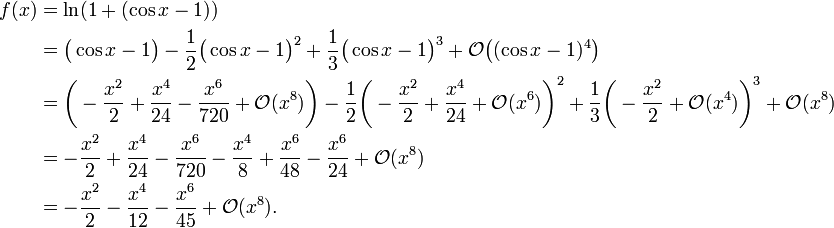
First example
Compute the 7th degree Maclaurin polynomial for the function
.
First, rewrite the function as
.
We have for the natural logarithm (by using the big O notation)
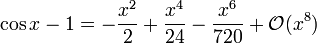
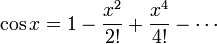
and for the cosine function
The latter series expansion has a zero constant term, which enables us to substitute the second series into the first one and to easily omit terms of higher order than the 7th degree by using the big O notation:
Since the cosine is an even function, the coefficients for all the odd powers x, x3, x5, x7, . . . have to be zero.
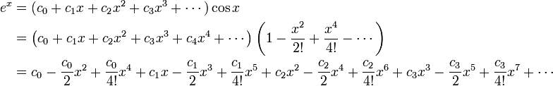
Second example
Suppose we want the Taylor series at 0 of the function
.
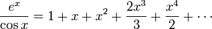
We have for the exponential function
and, as in the first example,
Assume the power series is
Then multiplication with the denominator and substitution of the series of the cosine yields
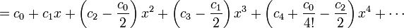
Collecting the terms up to fourth order yields
Comparing coefficients with the above series of the exponential function yields the desired Taylor series
.
Taylor series as definitions
Classically, the above functions are defined by some property that holds for them. For example, the exponential function is defined as the function that is equal to its own derivative. However, in computable analysis, functions must be defined by algorithms rather than properties, so the above Taylor expansions are used as primary definitions rather than derived results. This is also likely to be the case in software implementations of the functions.
Using Taylor series, one may define analytical functions of matrices and operators, such as matrix exponential or matrix logarithm.
Taylor series in several variables
The Taylor series may also be generalized to functions of more than one variable with

.
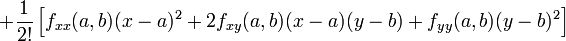
For example, for a function that depends on two variables, x and y, the Taylor series to second order about the point (a, b) is:
where the subscripts denote the respective partial derivatives.
A second-order Taylor series expansion of a scalar-valued function of more than one variable can be compactly written as
where
is the gradient and
is the Hessian matrix. Applying the multi-index notation the Taylor series for several variables becomes
in full analogy to the single variable case.







































![+ \frac{1}{2!}\left[ f_{xx}(a,b)(x-a)^2 + 2f_{xy}(a,b)(x-a)(y-b) + f_{yy}(a,b)(y-b)^2 \right]\!](../../images/195/19516.png)

